Предмет: Математика,
автор: Mallezar
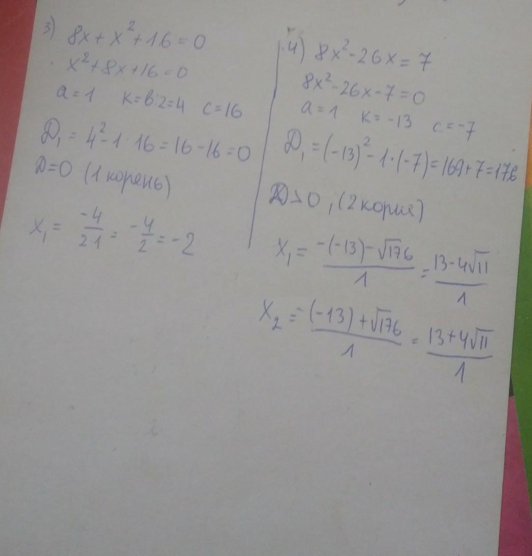
Решите квадратные уравнения:
3) 8х + х2 + 16 = 0
4) 8х2 – 26х = 7
Ответы
Автор ответа:
1
Ответ:
см.в пр.файл
Пошаговое объяснение:
удачи...
Приложения:
Mallezar:
спасибо
Похожие вопросы
Предмет: Другие предметы,
автор: пюрешечка
Предмет: Английский язык,
автор: ganzales
Предмет: Русский язык,
автор: Алина12361
Предмет: Математика,
автор: лизунишкалилу575
Предмет: Математика,
автор: Аноним