Предмет: Математика,
автор: ipokwsbe
Помогите пожалуйста
╦
╠
Приложения:
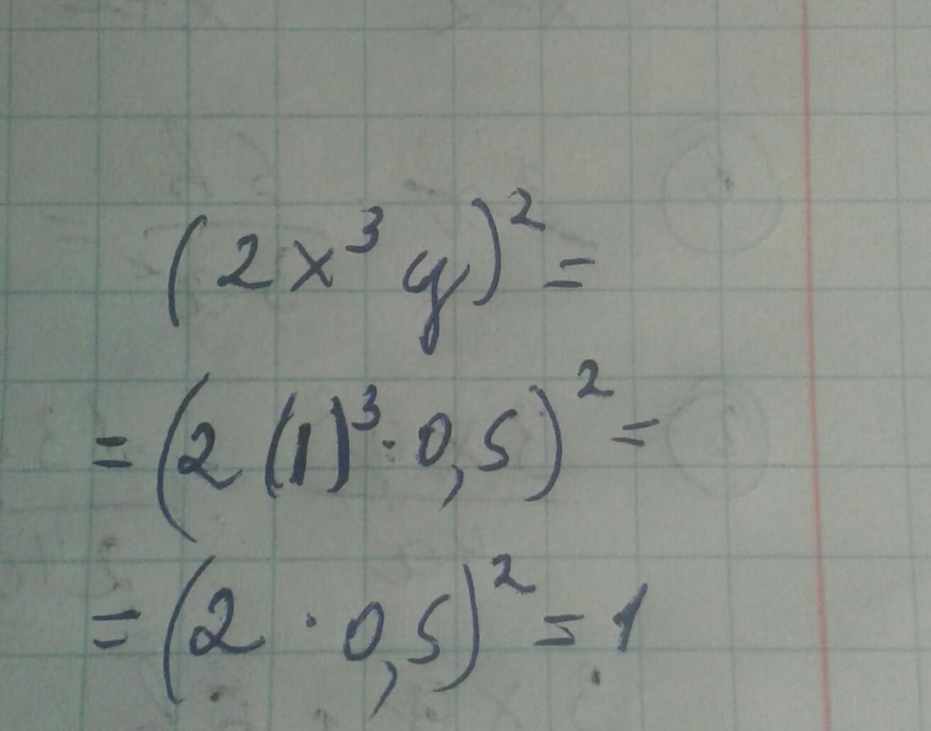
jekadva:
= 4x⁶y² = 4*1⁶*0,5² = 4 * 0,25 = 1
Ответы
Автор ответа:
1
Ответ:
1, если вопросы спросите
Приложения:
Похожие вопросы
Предмет: Другие предметы,
автор: ЙЙЦЦ1234
Предмет: Английский язык,
автор: яяяяяяяяяя3яяяяяя
Предмет: Русский язык,
автор: Katikita
Предмет: Алгебра,
автор: пушок13
Предмет: Литература,
автор: marinaibragimo