Предмет: Математика,
автор: Ghbhi80p
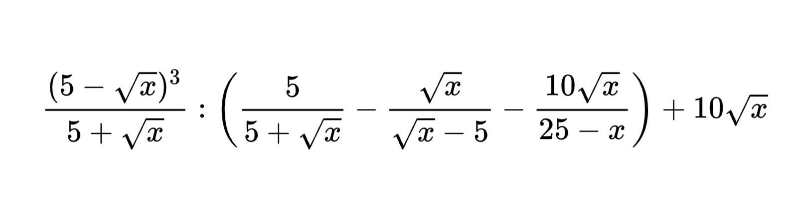
Упростите выражение и найдите его значение при x=11
Приложения:
Ответы
Автор ответа:
2
......................
Приложения:
Похожие вопросы
Предмет: Другие предметы,
автор: LILI3000
Предмет: Русский язык,
автор: Аноним
Предмет: Русский язык,
автор: Катерина20
Предмет: Математика,
автор: Полины
Предмет: Алгебра,
автор: sabina643kirilenko