Предмет: Алгебра,
автор: miladygirllife
срочно. самостоялка по отрицательным степеням
Приложения:
Ответы
Автор ответа:
0
1. а)2^-5
б) x^-6
в) a^-1
г) 23^-4
2. а) 1/7^3
б) 1/y^10
в) 1/b
г) 1/(3a)^4
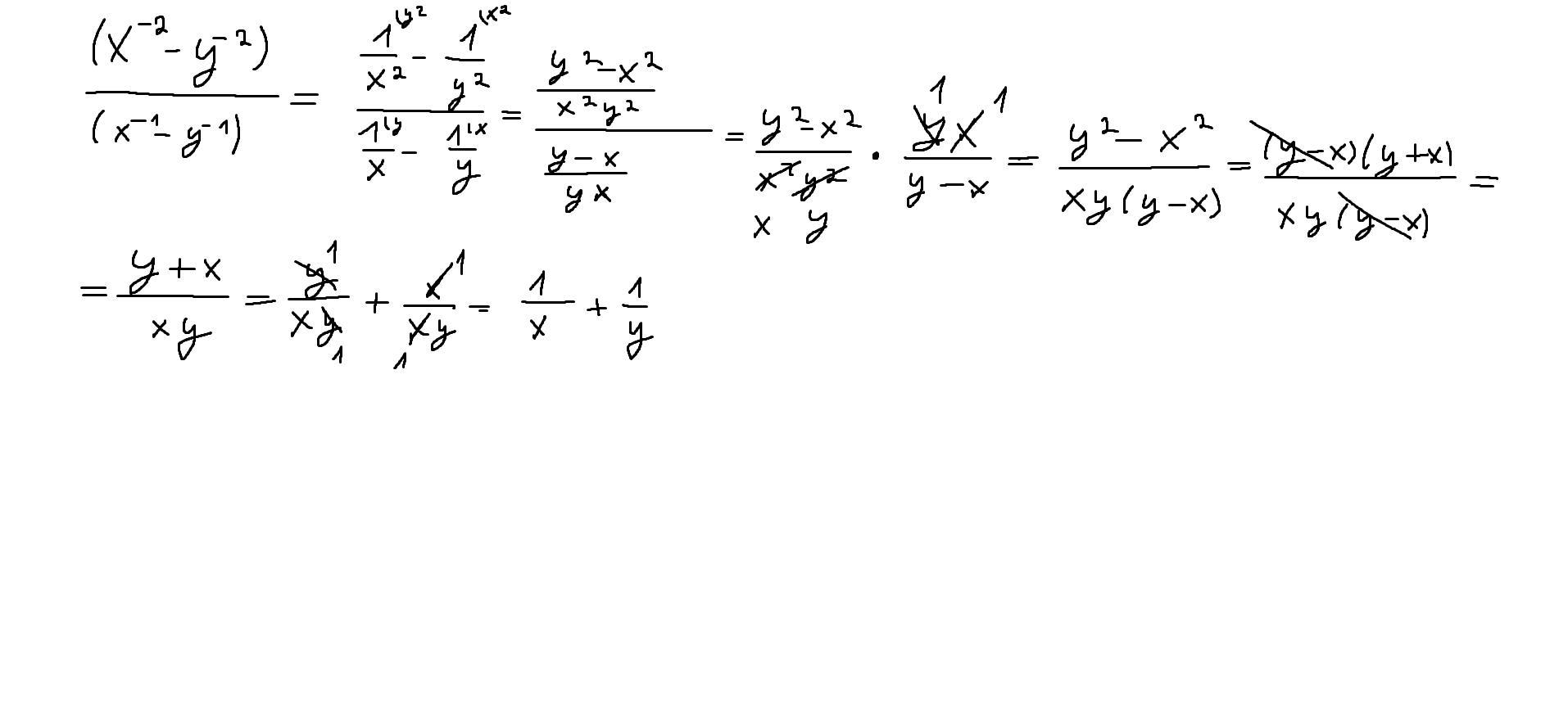
3.
Приложения:
Похожие вопросы
Предмет: Английский язык,
автор: KREC
Предмет: Английский язык,
автор: Izengard
Предмет: Русский язык,
автор: maxbor73
Предмет: Математика,
автор: Дмитрий200711