Предмет: Алгебра, автор: wayercp

Помогите решить логарифмические уравнения, с развёрнутым ответом

Приложения:

Ответы

Автор ответа: MistaB
1

1.

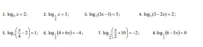
log_9x=2\\|\:\:log _a(b)=c\quad \Rightarrow\quad b=a^c\\|\:\:log _9(x)=2\quad \Rightarrow\quad x=9^2\\x=9^2\\x=81

2.

log_{\frac{1}{4}} x=3\\|\:\:log _a(b)=c\quad \Rightarrow\quad b=a^c\\|\:\:log _{\frac{1}{4}}\left(x\right)=3\quad \Rightarrow \quad \:x=\left(\frac{1}{4}\right)^3\\x=\left(\frac{1}{4}\right)^3\\x=\frac{1}{64}

3.

log_2\left(3x-1\right)=5\\|\:\:log _a\left(b\right)=c\quad \Rightarrow \quad b=a^c\\|\:\:log _2\left(3x-1\right)=5\quad \Rightarrow \quad \:3x-1=2^5\\3x-1=2^5\\3x=33\\x=11

4.

log_5\left(3-2x\right)=2\\|\:\:log _a\left(b\right)=c\quad \Rightarrow \quad b=a^c\\|\:\:log _5\left(3-2x\right)=2\quad \Rightarrow \quad \:3-2x=5^2\\3-2x=5^2\\-2x=22\\x=-11

5.

log_3\left(\frac{x}{4}-2 \right)=1\\|\:\:log _a\left(b\right)=c\quad \Rightarrow \quad b=a^c\\|\:\:log _3\left(\frac{x}{4}-2\right)=1\quad \Rightarrow \quad \frac{x}{4}-2=3^1\\\frac{x}{4}-2=3^1\\\frac{x}{4}\cdot \:4-2\cdot \:4=3^1\cdot \:4\\x-8=12\\x=20

6.

log_{\frac{1}{2}}\:\left(4+6x\right)=-4\\|\:\:log _a\left(b\right)=c\quad \Rightarrow \quad b=a^c\\\|\:\:log _{\frac{1}{2}}\left(4+6x\right)=-4\quad \Rightarrow \quad \:4+6x=\left(\frac{1}{2}\right)^{-4}\\4+6x=\left(\frac{1}{2}\right)^{-4}\\4+6x=16\\6x=12\\x=2

7.

log_{\frac{1}{6}}\:\left(\frac{x}{2}+10\right)=-2\\|\:\:log _a\left(b\right)=c\quad \Rightarrow \quad b=a^c\\|\:\: log _{\frac{1}{6}}\left(\frac{x}{2}+10\right)=-2\quad \Rightarrow \quad \frac{x}{2}+10=\left(\frac{1}{6}\right)^{-2}\\\frac{x}{2}+10=\left(\frac{1}{6}\right)^{-2}\\\frac{x}{2}\cdot \:2+10\cdot \:2=\left(\frac{1}{6}\right)^{-2}\cdot \:2\\x+20=72\\x=52

8.

log_{\frac{1}{3}}\:\left(6-5x\right)=0\\|\:\:log _a\left(b\right)=c\quad \Rightarrow \quad b=a^c\\|\:\:log _{\frac{1}{3}}\left(6-5x\right)=0\quad \Rightarrow \quad \:6-5x=\left(\frac{1}{3}\right)^0 \\6-5x=\left(\frac{1}{3}\right)^0\\6-5x=1\\-5x=-5\\x=1

Похожие вопросы
Предмет: Українська мова, автор: Арсений5
Предмет: Алгебра, автор: eayagoz42