Предмет: Алгебра,
автор: maksimsmirnov20057c
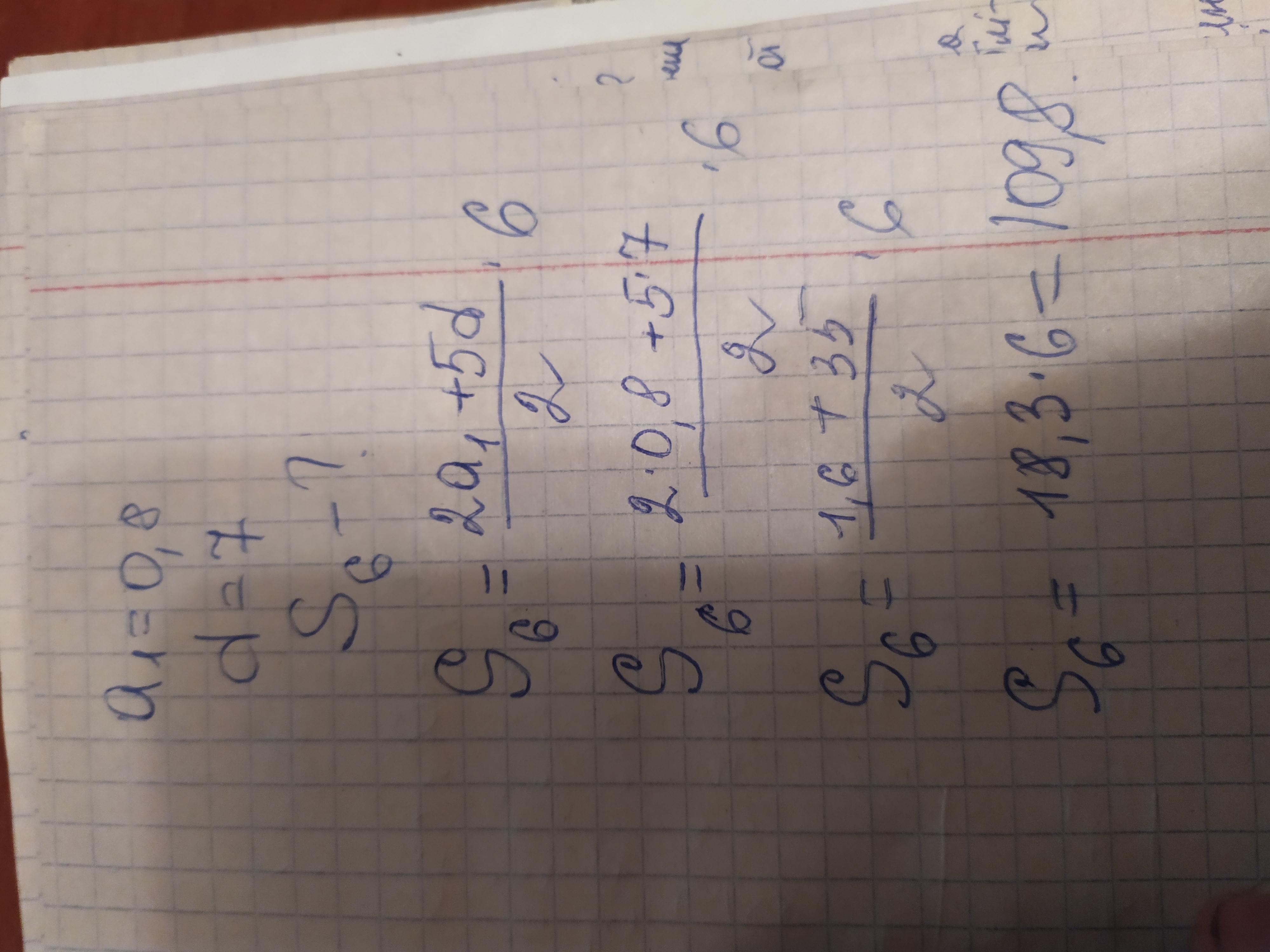
Дана арифметическая прогрессия (an). Известно, что a1 = 0,8 и d = 7.
Вычисли сумму первых 6 членов арифметической прогрессии.
S6 = .
Ответы
Автор ответа:
1
Ответ:
Решение на фото
Объяснение:
Приложения:
Автор ответа:
0
Ответ:
Объяснение:
S6=(2a1+5d)*6/2=(2*0,8+5*7)*3=(1,6+35)*3=36,6*3=109,8
Похожие вопросы
Предмет: Русский язык,
автор: GenB
Предмет: Русский язык,
автор: w1w1w1w1
Предмет: Русский язык,
автор: Лёха1001
Предмет: Алгебра,
автор: sok2003