Предмет: Математика,
автор: rom7kitom49
сравните пожалуйста
Приложения:
Ответы
Автор ответа:
1
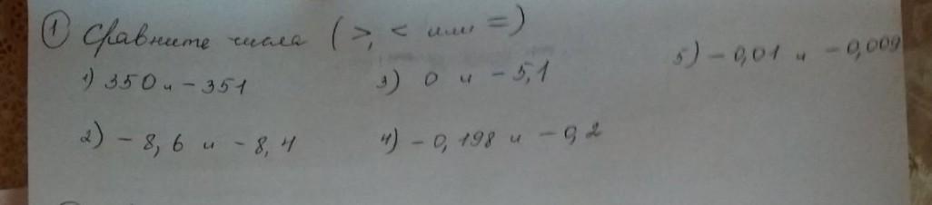
Ответ:
1)350> -351
2)-8,6<-8,4
3)0> -5,1
4)-0,198>0,2
5)-0,01< -0,009
Пошаговое объяснение:
Вроде так
Похожие вопросы
Предмет: Английский язык,
автор: бездырь
Предмет: Другие предметы,
автор: Сабик1
Предмет: Русский язык,
автор: 098765larisa
Предмет: Алгебра,
автор: annakirgizbaev