Предмет: Алгебра, автор: moyiecvest

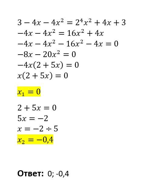
3 - 4x - 4x^2 = 2^4x^2 +4x +3
Решите пж срочно​

Ответы

Автор ответа: gwar92978
0

Ответ:

x1=-0,4; x2=0

Объяснение:1) -4x-4x^2-16x^2-4x

2)-8x-20x^2=0

3) x*(2+5x)=0

Решить ур-е


moyiecvest: а откуда 16х^2 - 4х??
moyiecvest: и вообще я не поняла решение, кроме последних 3 строк
gwar92978: все переносим в одну часть приводим подобные члены и разлагаем множители
moyiecvest: там степень у двойки а не умножение
gwar92978: yeeee
gwar92978: нуууу это правильный ответ
moyiecvest: нееет
gwar92978: дааа
gwar92978: я на калькуляторе решал
moyiecvest: ладно забей, но я говори там в степени двой 4х^2+4х +3
Автор ответа: sebrithien
1

Решение в приложении

Приложения:

moyiecvest: но у 2 степень не 4, а 4х^2 +4х+3
Похожие вопросы
Предмет: Математика, автор: safronovaulian1
Предмет: Математика, автор: lubovFomina2004