Предмет: Физика,
автор: alinamircha
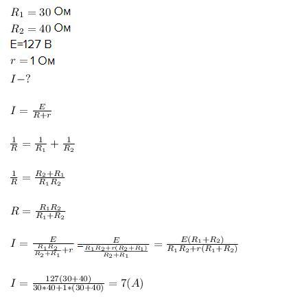
Два резистори опорами 120 і 80 Ом з’єднані паралельно. Визначте опір цієї ділянки кола.
Ответы
Автор ответа:
2
Ответ:
Ответик ;D
Объяснение:
Приложения:
Похожие вопросы
Предмет: Русский язык,
автор: nanohanter
Предмет: Русский язык,
автор: KibaNeko
Предмет: Русский язык,
автор: Kalino4ka
Предмет: Математика,
автор: liohse
Предмет: Алгебра,
автор: jggtj