Предмет: Алгебра,
автор: Alesaz12312
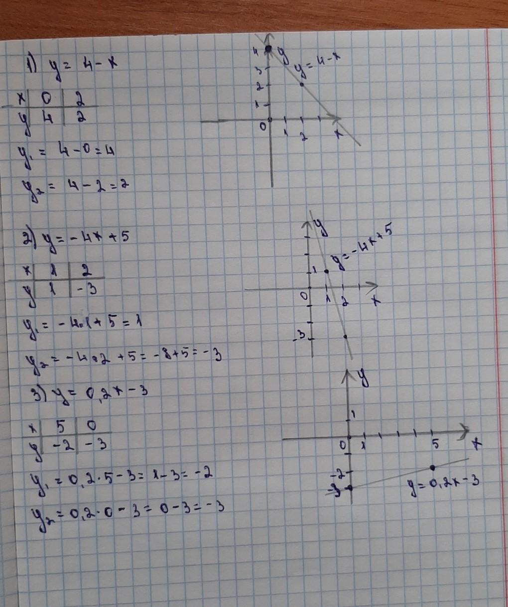
постройте график функций 1)у=4-х 2)у=-4х+5 3) у= 0,2х-3
пожалуйста,можно подробно!
Ответы
Автор ответа:
1
Прости, знаю только на первое
Приложения:
Alesaz12312:
спасибо хотя бы за первое!
Автор ответа:
3
Ответ:
вместо Х просто подставляй числа и получишь У
Приложения:
числа можно брать какие захочешь
пожалуйста
Похожие вопросы
Предмет: Русский язык,
автор: arminemgeryan
Предмет: Другие предметы,
автор: Аноним
Предмет: Українська література,
автор: kisya0104
Предмет: Математика,
автор: Nutelka1
Предмет: Математика,
автор: УКР2017