Предмет: Математика,
автор: xGShail
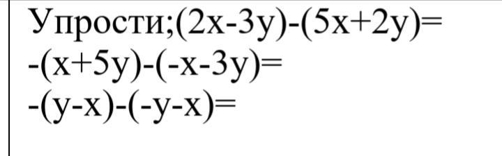
Упростите пожалуйста
Приложения:
Ответы
Автор ответа:
1
Ответ:
вот пожалуйста если не понятно обращайся я рада помочь;)
Пошаговое объяснение:
раскрываем скобки затем сокращаем противоположные выражения
Приложения:
Автор ответа:
0
Ответ:
Пошаговое объяснение:
2x - 3y - 5x - 2y = -3x - 5y
-x - 5y + x + 3y = -2y
-y + x + y + x = 2x
Похожие вопросы
Предмет: Українська мова,
автор: natali8112
Предмет: Українська мова,
автор: топтыжка
Предмет: Русский язык,
автор: лидуся555
Предмет: Математика,
автор: 3гиг3т