Предмет: Алгебра,
автор: TWONUMBNINE
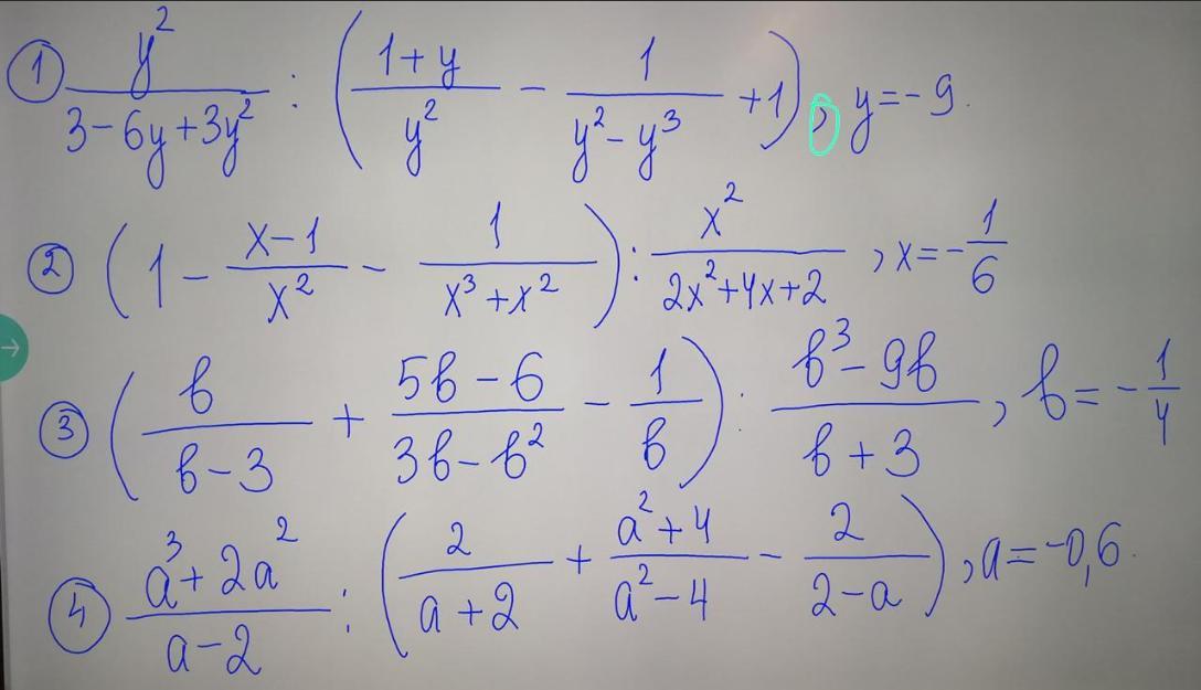
Умоляю, помогите с примерами. Нужно преобразовать их, а потом решить, сразу же подставлять нельзя!! Большое спасибо заранее :3
( то что обведено - не обращайте внимание, то что после запятых - при условии что (например y = 3 и тд))
Приложения:
Ответы
Автор ответа:
1
Ответ на 1 пример во вложении, сейчас остальные буду решать
Приложения:
TWONUMBNINE:
Спасибо огромное, <3
Похожие вопросы
Предмет: Русский язык,
автор: lulitulka
Предмет: Русский язык,
автор: PrincessTheRipper
Предмет: Русский язык,
автор: Школяр1
Предмет: Физика,
автор: АльбертАйша