Предмет: Физика,
автор: Armi5
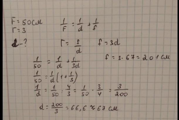
Фокусное расстояние линзы 50 см. Чтобы получить действительное изображение, увеличенное в 3 раза, предмет следует поместить от собирающей тонкой линзы на расстоянии
Ответ должен получиться ≈67см
Нуждаюсь в решении, пожалуйста
Ответы
Автор ответа:
6
....................
Приложения:
Похожие вопросы
Предмет: Русский язык,
автор: АРИНЧЕС
Предмет: Другие предметы,
автор: tuduga
Предмет: Русский язык,
автор: nikita1a
Предмет: Математика,
автор: castyja30