Предмет: Математика, автор: lanal65

ПОМОГИТЕ, пожалуйста, оаоаоаоаоао

Приложения:

Ответы

Автор ответа: Avantgardе
1

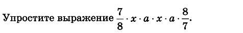
\dfrac{7}{8}\cdot x\cdot a\cdot x\cdot a\cdot \dfrac{8}{7} = x^{2}\cdot a^{2}\cdot \dfrac{7\cdot 8}{8\cdot 7} = x^{2}\cdot a^{2}\cdot 1 = x^{2}\cdot a^{2}

Похожие вопросы
Предмет: Русский язык, автор: Adidas897