Предмет: Математика,
автор: САХАРОчка
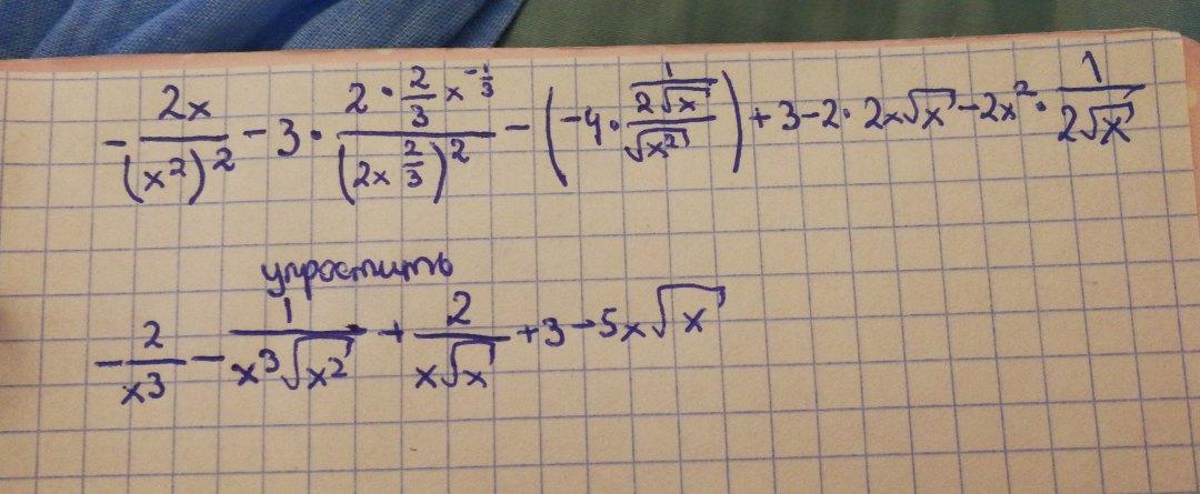
Помогите с математикой срочноооо!!!
1 пример
найти производную)) даю 100 баллов
Приложения:
Ответы
Автор ответа:
0
Смотреть вложения, мяу!
Приложения:
Похожие вопросы
Предмет: Русский язык,
автор: Perory
Предмет: Русский язык,
автор: Аноним
Предмет: Русский язык,
автор: rimma123456
Предмет: Алгебра,
автор: solomkasolona