Предмет: Математика,
автор: Аноним
решите уравнение неполным способом
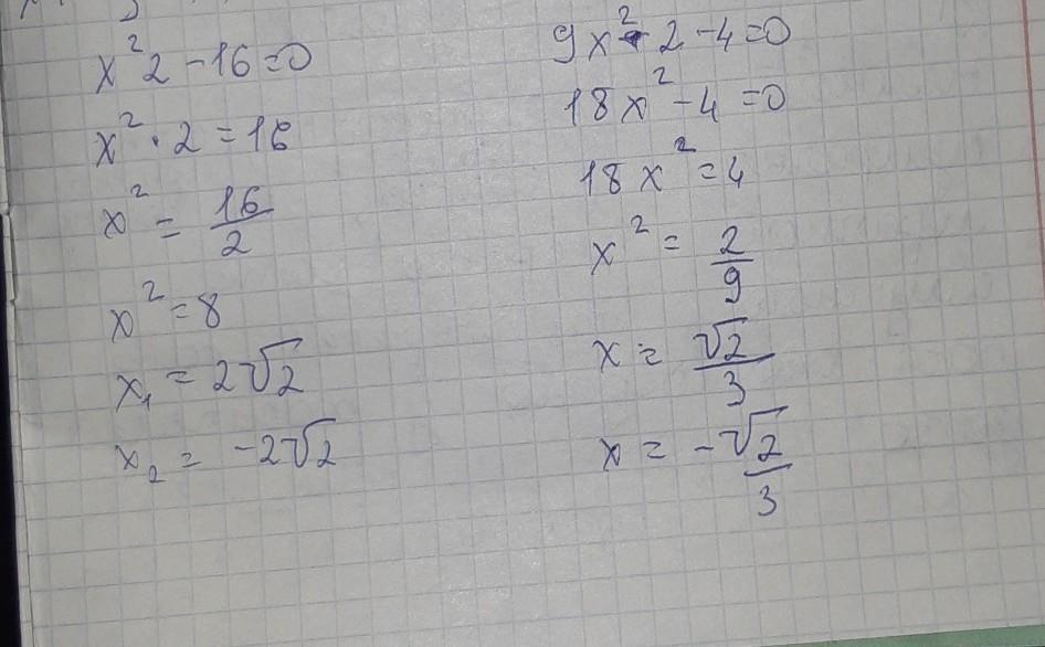
x^2-16=0
9x^2-4=0
Ответы
Автор ответа:
0
Ответ:
1) x² - 16= 0
x²= 16
x= 4
x= - 4
2) 9x²-4=0
9x²=4
x²=4/9
x= 2/3
x= -2/3
SophiaGoncharenko:
а почему -2/3?
при извлечении корня минус не нужен, ни в первом уравнении, ни во втором
Когда число возводится в чётную степень минус пропадает
Поэтому когда мы извлекаем корень из числа, оно может быть положительным и отрицательным
Автор ответа:
0
Ответ:
вот пожалуйста если не понятно обращайся я рада помочь)
Приложения:
Похожие вопросы
Предмет: Русский язык,
автор: Аноним
Предмет: Українська література,
автор: MilaMarchenko
Предмет: Русский язык,
автор: senchakova
Предмет: Физика,
автор: body12e
Предмет: География,
автор: Tanya200511111