Предмет: Математика, автор: sans998877

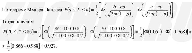
Имеется 100 станков одинаковой мощности, работающих независимо друг от друга в одинаковом режиме при включенном приводе в течение 0,8 всего рабочего времени. Какова вероятность того, что в произвольно взятый момент времени окажутся включенными от 70 до 86 станков?

Ответы

Автор ответа: SergeySergeev1589
6

ответ на изображении ниже

Приложения:
Похожие вопросы
Предмет: Химия, автор: daryshka
Помогите, пожалуйста, с задачей, даю 100 баллов!!!
В настоящее время для установления строения органических соединений используют физико-химических методы анализа. Тем не менее, есть случаи, например, при определении положения кратной связи в углеводородной цепи, когда они бессильны и без привлечения химического эксперимента не обойтись. Перед вами поставлена задача установить структуру углеводорода, брутто-формула которого С8Н16. При обработке данного соединения озоном вначале образуется неустойчивое соединение А’, которое далее перегруппировывается в соединение А. После действия на него перекиси водорода в кислой среде образуется смесь изомерных продуктов родственной природы Б и В. При титровании каждого из них для нейтрализации навески массой 1.00 г необходимо по 11.36 мл 1 н раствора гидроксида натрия. В тоже время при смешивании соединения Б, имеющего неразветвленный скелет, с избытком гидроксида натрия и последующем прокаливании выделяется газ Г, который повсеместно используется в быту для обогрева и приготовления пищи. Соединение В восстанавливается избытком алюмогидрида лития до соответствующего спирта Д. При дегидратации соединения Д образуется алкен Е, который в свою очередь может быть гидратирован в кислой среде. При этом образуется новый спирт Ж, не вступающий в реакцию окисления.
Установите строение и назовите неизвестный углеводород. Напишите схемы протекающих реакций и назовите соединения Б-Ж по заместительной номенклатуре.