Предмет: Математика,
автор: thunderbolt318
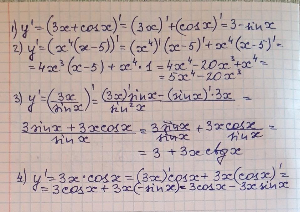
Математика, Вычислить производные чисел
Приложения:
Ответы
Автор ответа:
1
Ответ:
1)3-sin
2)4x^3-1
3)3/cosx
43-sinx
thunderbolt318:
можно с решением ?
Автор ответа:
1
Ответ:
Вычислить производные функций.
Приложения:
Похожие вопросы
Предмет: Английский язык,
автор: Nikitja
Предмет: Русский язык,
автор: alisikk
Предмет: Русский язык,
автор: MadMax2002
Предмет: Литература,
автор: LeraDay135
Предмет: Химия,
автор: crizis220