Предмет: Физика,
автор: Лина323312
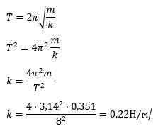
Период колебаний груза массой 351 г на пружине равен 8 с. Определи жёсткость пружины. При расчётах прими π=3,14.
(Ответ округли до сотых.)
ФИЗИКА 9 КЛАСС
Ответы
Автор ответа:
15
Ответ:
0,22Н/м
Объяснение:
Приложения:
Похожие вопросы
Предмет: Русский язык,
автор: Ольга009
Предмет: Русский язык,
автор: Аноним
Предмет: Английский язык,
автор: Аноним
Предмет: Геометрия,
автор: JoBarbara
Предмет: Математика,
автор: Yasminka775