Предмет: Математика,
автор: Vlada098915
Помогите пожалуйста
Приложения:
Vlada098915:
1 номер или задание
Не поняла
Ответы
Автор ответа:
1
Ответ:
скачай програму фотомач
Автор ответа:
1
Ответ:
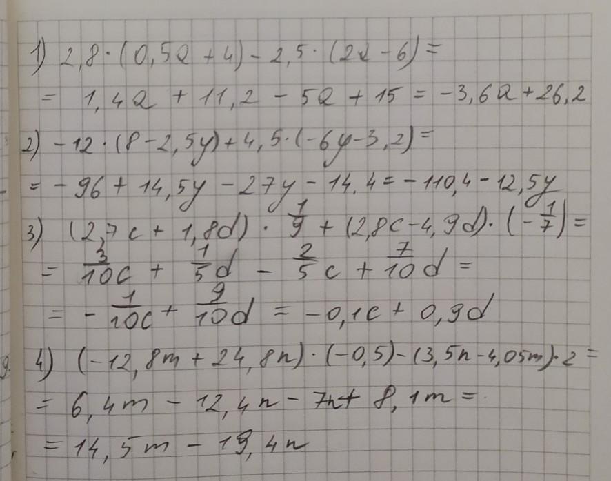
В последним со знаками немного не уверена
Пошаговое объяснение:
__________________
Приложения:
Спасибо большое
Ты мне уже не раз помогаешь
Да? Ого,круто
Похожие вопросы
Предмет: Другие предметы,
автор: Хорошистка2001
Предмет: Русский язык,
автор: евалатыш
Предмет: Русский язык,
автор: murlisya
Предмет: Химия,
автор: lizaivanovama9