Предмет: Математика, автор: at296041

Решить систему
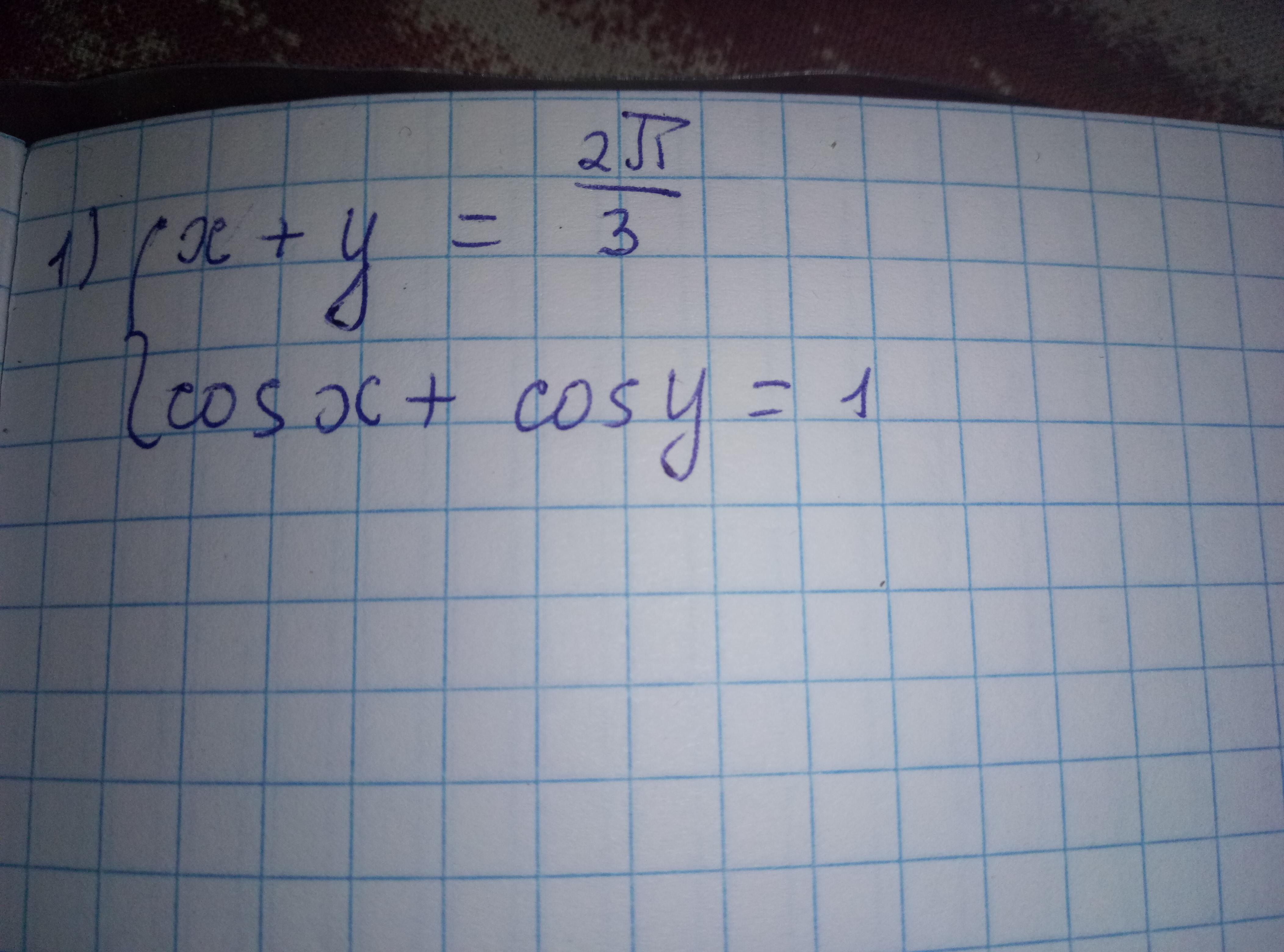
Х+у=2Π/3
cosx+cosy=1

Приложения:

Ответы

Автор ответа: Аноним
0

Ответ:

(\frac{\pi}{3}+2\pi n;\ \frac{\pi}{3}-2\pi n), n \in Z

Пошаговое объяснение:

из первого уравнения выражаем y:

y=\frac{2\pi}{3} -x

и подставляем во второе:

cosx+cos(\frac{2\pi}{3}-x)=1 \\ \\ cosx+cos\frac{2\pi}{3}*cosx+sin\frac{2\pi}{3}*sinx=1 \\ \\ cosx-\frac{1}{2}cosx+\frac{\sqrt{3} }{2} sinx=1 \\ \\ \frac{1}{2}cosx+\frac{\sqrt{3} }{2} sinx=1 \\ \\ sin\frac{\pi}{6}cosx+cos\frac{\pi}{6}sinx=1 \\ \\ sin(\frac{\pi}{6}+x)=1 \\ \\ \frac{\pi}{6}+x=\frac{\pi}{2}+ 2\pi n\\ \\ x=-\frac{\pi}{6}+\frac{\pi}{2}+2\pi n=\frac{\pi}{3}+2\pi n, n \in Z

y=\frac{2\pi}{3}-x=\frac{2\pi}{3}-(\frac{\pi}{3}+2\pi n)=\frac{2\pi}{3}-\frac{\pi}{3}-2\pi n=\frac{\pi}{3}-2\pi n, n \in Z

Похожие вопросы
Предмет: Қазақ тiлi, автор: Аноним
Предмет: Математика, автор: снревонпшпаш23ц424