Предмет: Алгебра,
автор: smirnovaara11
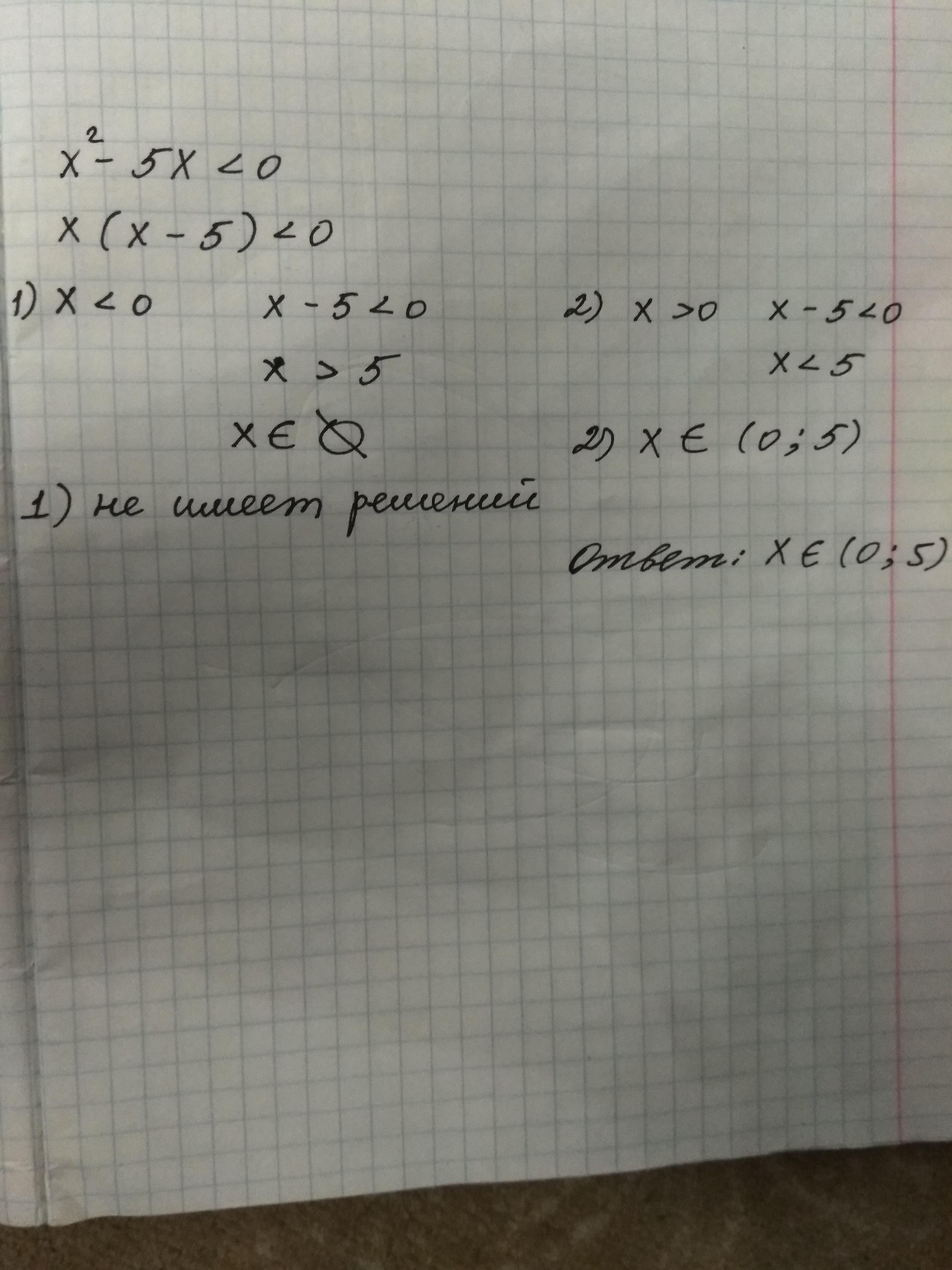
укажите решение неравенства x²-5x<0
Ответы
Автор ответа:
0
На фотке все решено, если что-то непонятно спрашивай
Приложения:
Похожие вопросы
Предмет: Английский язык,
автор: KSYNDRA18
Предмет: Русский язык,
автор: DAN111
Предмет: Русский язык,
автор: веко
Предмет: Литература,
автор: вовалучший123
Предмет: Литература,
автор: ксю584оопрл