Предмет: Математика, автор: sonya4439

Помогите а то я тупая Даю 24 балла.Нужно найти неизвестный член пропорции

Приложения:

Ответы

Автор ответа: Пеппер
1

Ответ:

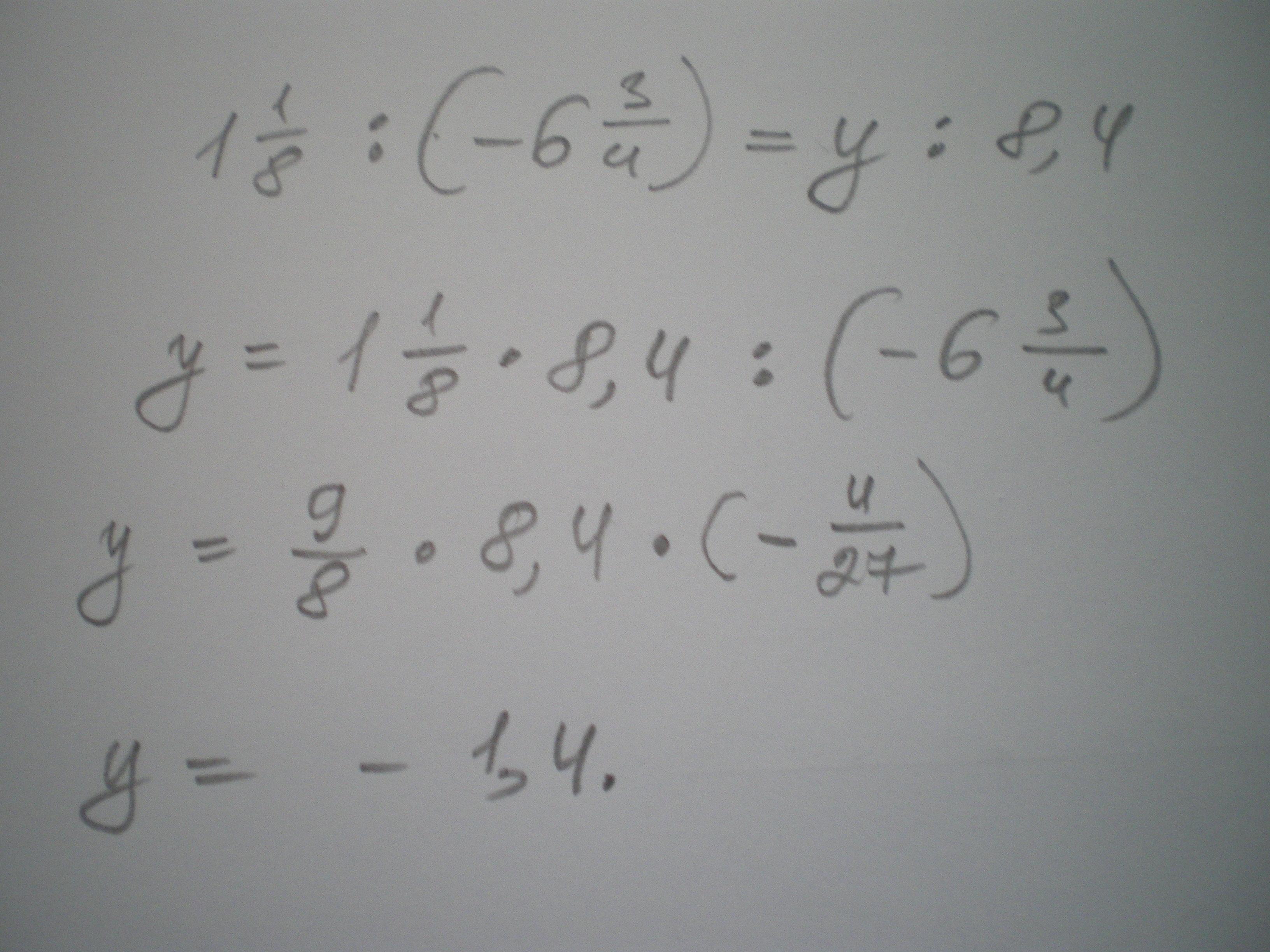
-1,4

Пошаговое объяснение:

Приложения:
Автор ответа: kskate452633
1

Ответ:

-1,4

Пошаговое объяснение:

1  \frac{1}{8}  =  \frac{9}{8}

 - 6 \ \frac{3}{4}  =  -  \frac{27}{4}

8.4 =  \frac{42}{5}

 \frac{9 \times  (- 4)}{8 \times 27}  =  \frac{ - 1}{6}

y =  \frac{ - 42}{5 \times 6}  =   \frac{ - 42}{30}  =  - 1.4

Похожие вопросы