Предмет: Алгебра,
автор: Erden4ik
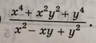
Сократите дроби!!!
пожалуйста помогите!!!
Приложения:
Ответы
Автор ответа:
0
Ответ:
2y4+x2y2/x2-xy+y2
Объяснение:
2y4+x2y2/x2-xy+y2=2y4+x2y2/x2-xy+y2
Похожие вопросы
Предмет: Русский язык,
автор: winuser
Предмет: Другие предметы,
автор: грюм
Предмет: Русский язык,
автор: Нека1712
Предмет: История,
автор: EkaterinaShe
Предмет: Математика,
автор: finka1