Предмет: Алгебра,
автор: alinysamoskalenko6
Срочно, помогите решить
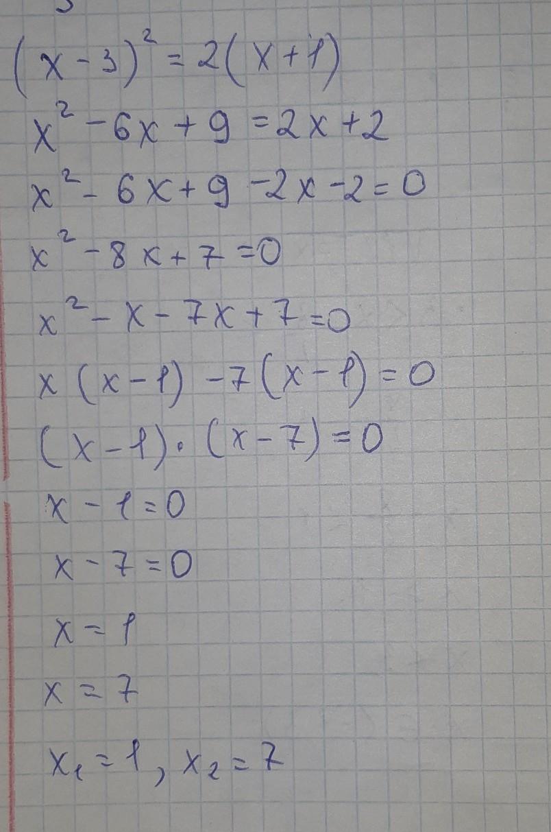
(х-3)²=2(х+1)
Ответы
Автор ответа:
1
Ответ:
вот пожалуйста если не понятно обращайся я рада помочь)))
=0
Приложения:
alinysamoskalenko6:
Спасибо большое
Похожие вопросы
Предмет: Русский язык,
автор: Аноним
Предмет: Русский язык,
автор: Pro100psix
Предмет: Русский язык,
автор: П0лина
Предмет: Математика,
автор: ВикторияBiBi
Предмет: Физика,
автор: balerinaarina