Предмет: Математика, автор: biyan77579

Записать одночлен в виде произведения, в котором все показатели степени равны 1.

Приложения:

Ответы

Автор ответа: galyk79
0

Ответ:

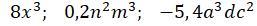
8x^3=2x*2x*2x

0,2n^2m^3=0,2n*n*m*m*m

-5,4a^3dc^2=-5,4a*a*a*d*c*c

Похожие вопросы
Предмет: Английский язык, автор: Aliona657

Помогите пожалуйста! Срочно) TASK 3. Complete the dialogue. Past Simple or Present Perfect? Alex wants to go to an art college and is being interviewed by Tom Smith, one of the lecturers. Complete the questions which Tom asks him. Read the whole conversation before you start. TOM: Right, Alex, let's find out something about you. You're obviously not a teenager, so when (I)_______ you ____ school? ALEX: Five years ago, actually. TOM: And where (2)________ you since then? ALEX: Well I've had several jobs. TOM: What (3) ________ first? ALEX: I worked in a cafe for about a year. I needed to save some money. TOM: Why (4)________ money? ALEX: I wanted to travel a bit before I started studying. TOM: Where (5)_______ to go? ALEX: Well, the Middle East, Latin America, Australia - TOM: Good Lord! And (6)________ all those places? ALEX: No, not yet. I've been to Brazil and Peru so far. And I spent some months in Turkey. TOM: What (7)_________ there? ALEX: I stayed with some friends near Izmir. It was Wonderful. TOM: You're very lucky. And now you want to come to college. (8) _______ some pictures to show me? ALEX: Urn, yes, I have a small portfolio here .. TOM: Where (9)_________ this work? ALEX: Mostly in Turkey. TOM: Why (10)________ any in South America? ALEX: I didn't have time really. And I was traveling light, I just did some pencil sketches. TOM: (11)_________ them here with you? ALEX: They're at the back of the portfolio. TOM: Well, Alex, I'm very impressed. When (12) ________ interested in painting and drawing? ALEX: I think I always have been. TOM: I can believe that. Will you come with me? I want to show this work to my colleagues right away. ALEX: Of course. Thank you very much.