Предмет: Алгебра, автор: hava2000

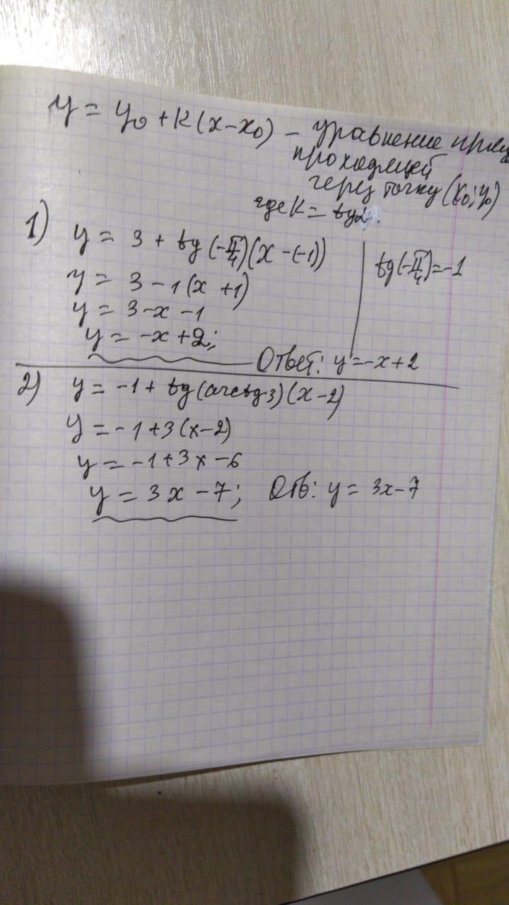
Записать уравнение прямой, проходящей через точку (x0;y0) и образующей с осью Оx угол а
Срочно пожалуйста ​

Приложения:

terikovramazan: какой класс?
hava2000: 11

Ответы

Автор ответа: NNNLLL54
14

1)\; \; a=-\frac{\pi}{4}\; ,\; x_0=-1\; ,\; y_0=3\\\\\boxed{\; y-y_0=k(x-x_0)\; }\\\\k=tga=tg(-\frac{\pi}{4})=-1\\\\y-3=-1\cdot (x+1)\\\\\boxed {y=-x+2}\\\\\\2)\; \; a=arctg3\; ,\; \; x_0=2\; ,\; y_0=-1\\\\k=tg(arctg3)=3\\\\y+1=3(x-2)\\\\\boxed {y=3x-7}

Автор ответа: terikovramazan
3

Ответ: приложено

Объяснение:

Приложения:
Похожие вопросы
Предмет: Русский язык, автор: olganazimova7