Предмет: Математика,
автор: Kkmaria
Помогите пожалуйста срочно очень надо плизз. ........;(
Приложения:
Ответы
Автор ответа:
2
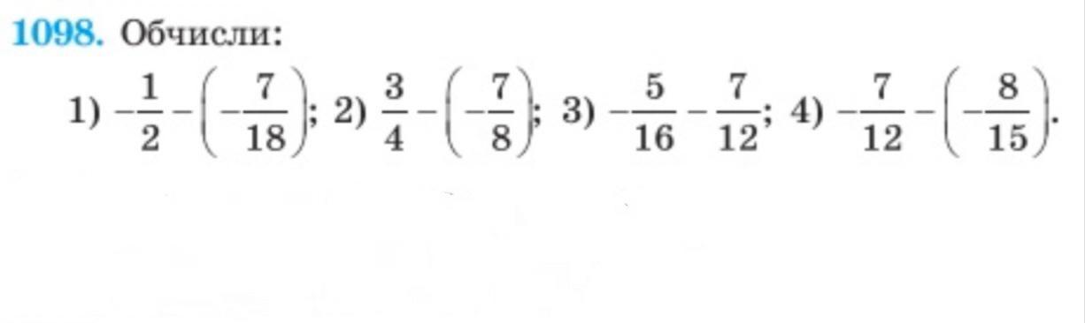
Ответ:
Пошаговое объяснение:
1) = -9/18 + 7/18 = -2/18 = -1/9
2) = 6/8 + 7/8 = 13/8 = 1 5/8
3) = -15/48 - 28/48 = -43/48
4) = -35/60 + 32/60 = -3/60 = -1/20
love67:
за отметку нарушений БАН
Кому бан
Похожие вопросы
Предмет: Русский язык,
автор: ЯрКоЕсОлНыШкО
Предмет: Английский язык,
автор: CatherinaS
Предмет: Українська мова,
автор: костян4ік
Предмет: Геометрия,
автор: arina397
Предмет: Алгебра,
автор: оля1576