Предмет: Математика,
автор: olegipetro
Допоможіть зробити букву К даю 40 баллів
Приложения:
Ответы
Автор ответа:
1
Ответ:
Пошаговое объяснение:
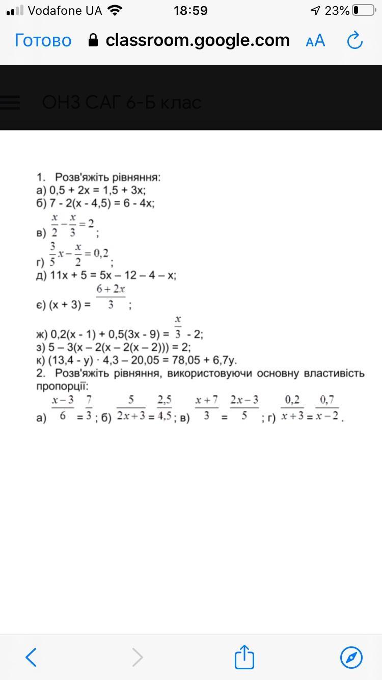
(13,4 - у) * 4,3 - 20,05 = 78,05 + 6,7у
57,62 - 4,3у -20,05 = 78,05 + 6,7у
-4,3у - 6,7у =78,05 - 57,62 +20,05
-11у = 40,48
у = 40,48 : (-11)
у = -3,68
Похожие вопросы
Предмет: Английский язык,
автор: Nick2013ru
Предмет: Қазақ тiлi,
автор: Аноним
Предмет: Українська мова,
автор: mopupa91
Предмет: Математика,
автор: liza919
Предмет: Алгебра,
автор: Аноним