Предмет: Алгебра, автор: Varyaffox

помогите алгебра 7 класс 2 примера! срочно дам макс, кол-во баллов)
это очень важно!

Приложения:

Varyaffox: второй пример там сепень! 18 и степень -2
nastyashif: ооо, вот это другое дело

Ответы

Автор ответа: nastyashif
1

Объяснение:

вроде так как-то

Приложения:

nastyashif: ты уверена, что там 3 в минус 4 степени? должна быть двойка
Varyaffox: да там 3 в минус 4 степени
nastyashif: блин
nastyashif: ща
Автор ответа: ЯгодкаЯлесная
1

Ответ:

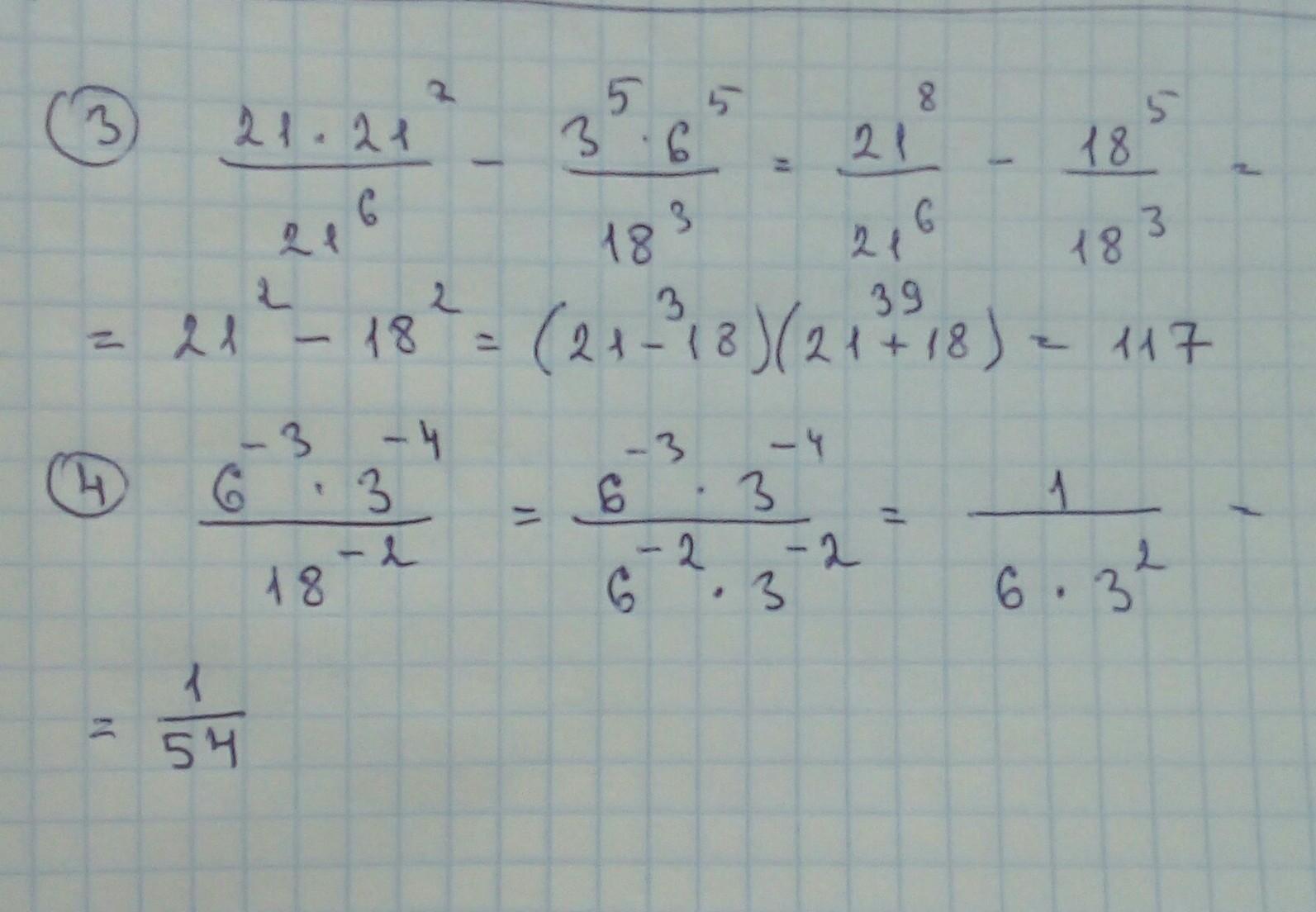
фоточка тебе в помощь ;)

Приложения:

Varyaffox: СПАСИБО ТЕБЕ БОЛЬШОЕ! ТЫ ПРОСТО СКАЗКА СОЛНЦЕ , ТЫ СПАСАЕШЬ МОЮ ОЦЕНКУ ПО АЛГЕБРЕ!!!
ЯгодкаЯлесная: рада помочь
Похожие вопросы
Предмет: Русский язык, автор: elena7774
Предмет: Математика, автор: zorzidiana06