Предмет: Алгебра,
автор: yusupmamutov
Ребята, срочно помогите, пожалуйста!
Приложения:
Ответы
Автор ответа:
1
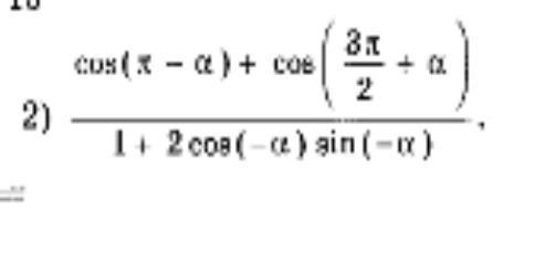
Ответ:
Объяснение:
=(-cosa+sina) /( sin^2a+cos^2a-2cosa*sina)=(sina-cosa) /(sina-cosa)^2=
1/(sina-cosa) ( представили 1=sin^2a+cos^2a)
Похожие вопросы
Предмет: Русский язык,
автор: jenya2013
Предмет: Русский язык,
автор: asiyat
Предмет: Українська мова,
автор: Nastja02
Предмет: Геометрия,
автор: Inna6666547
Предмет: История,
автор: tacenkokarimov