Предмет: Алгебра,
автор: nikenergy12
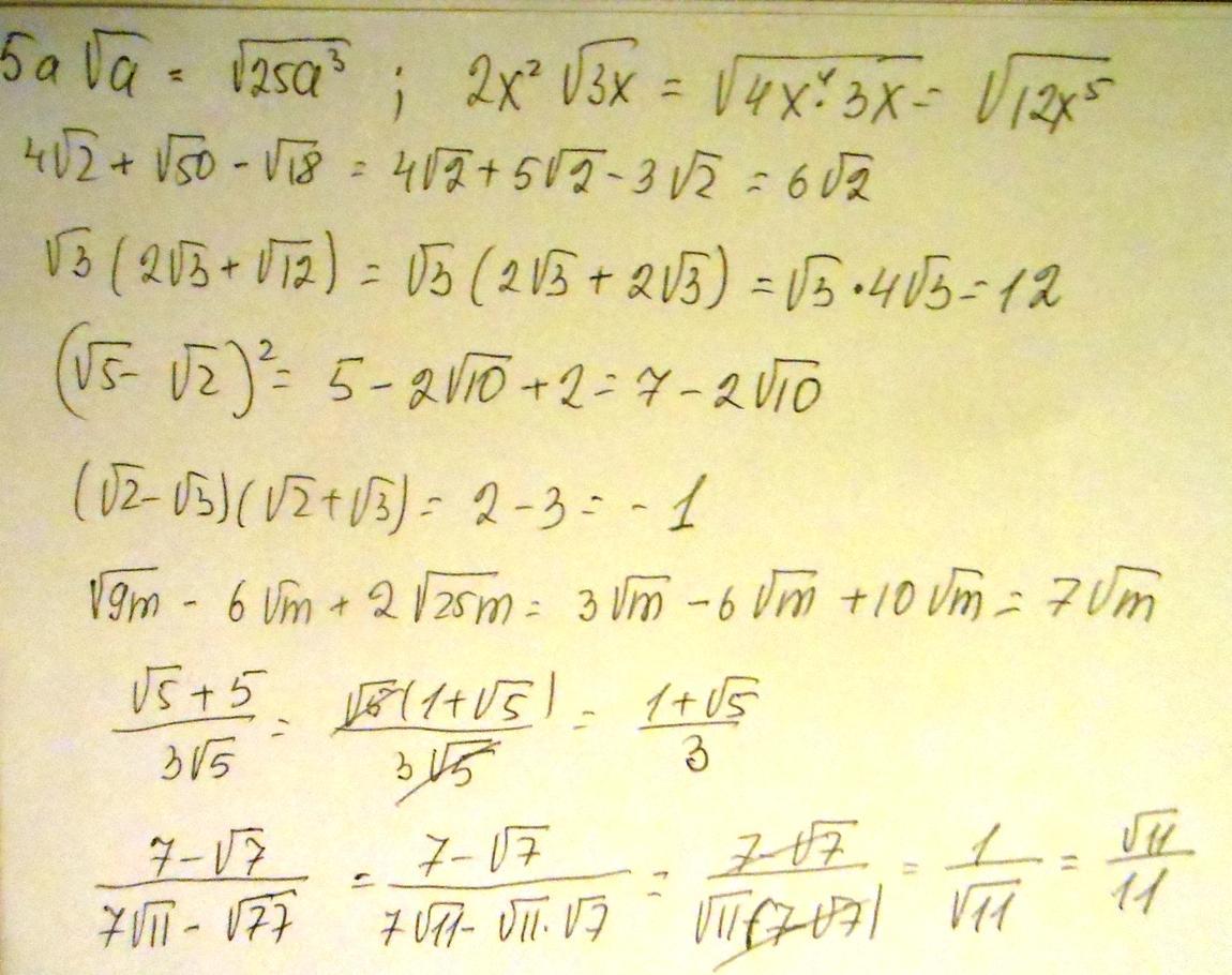
Срочно даю 60 балов!!!!!!!!!!!!!
Приложения:
Ответы
Автор ответа:
1
!!!!!!!!!!!!!!!!!!!!!!!!!!!!!!!!!!!
Приложения:
Похожие вопросы
Предмет: Русский язык,
автор: келси
Предмет: Русский язык,
автор: nadusa
Предмет: Другие предметы,
автор: Света12231099
Предмет: Химия,
автор: Abzal2001