Предмет: Алгебра,
автор: FAAER
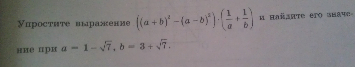
Упростить выражение и найти его значение.
См. фото.
Приложения:
Ответы
Автор ответа:
0
Решение на фото, надеюсь видно.
Приложения:
Похожие вопросы
Предмет: Алгебра,
автор: alinyal299229
Предмет: Алгебра,
автор: pochtatt4ejloboga21
Предмет: Английский язык,
автор: avramenko01
Предмет: Литература,
автор: anton50
Предмет: Физика,
автор: HEqpOPMaJI