Предмет: Математика,
автор: Аноним
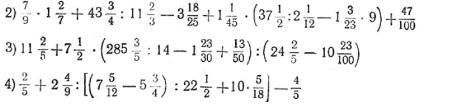
Решите эти примеры, пожайлуйста (сколько сможете)
Приложения:
Ответы
Автор ответа:
0
Ответ:
В первых двух точно уверен что правильно решил а вот насчет последнего не слишком уверен.
Пошаговое объяснение:
Приложения:
Похожие вопросы
Предмет: Қазақ тiлi,
автор: 87054058455
Предмет: Русский язык,
автор: lenusik567
Предмет: Русский язык,
автор: olsaev
Предмет: Литература,
автор: vlad2712237
Предмет: Математика,
автор: тартутик