Предмет: Алгебра,
автор: Аноним
ПОМОГИТЕ СРОЧНО!!!!!!!!!
Приложения:
Ответы
Автор ответа:
1
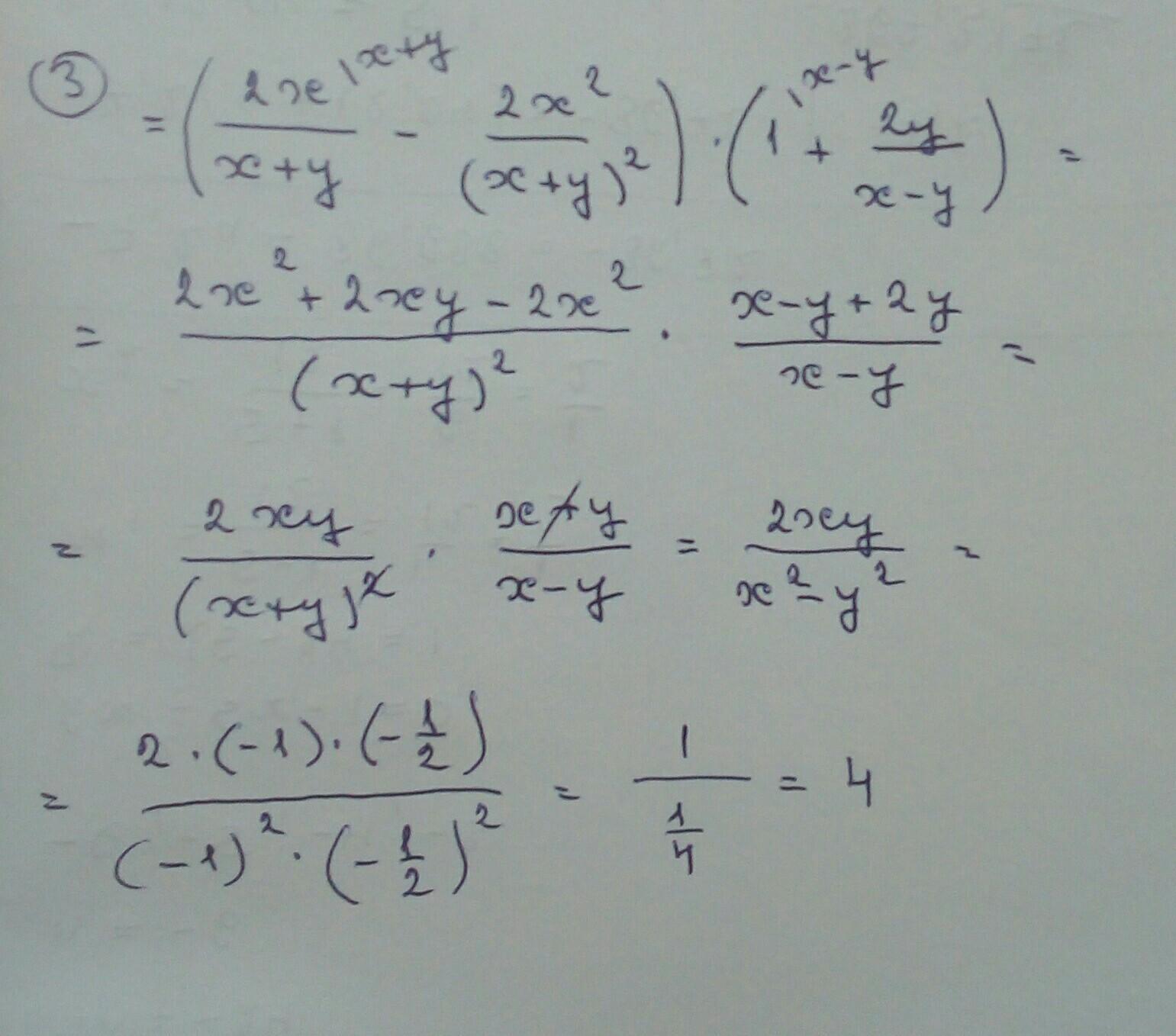
Ответ:
4
Объяснение: фоточка тебе в помощь ;)
Приложения:
Похожие вопросы
Предмет: Русский язык,
автор: skrillix15
Предмет: Русский язык,
автор: светаааа
Предмет: Русский язык,
автор: Аноним
Предмет: Алгебра,
автор: Томи06
Предмет: Алгебра,
автор: 777km