Предмет: Математика, автор: mertyqwerty46

ПРОШУ ПОМОГИТЕ!!!!!!

Приложения:

Ответы

Автор ответа: kucher29062005
0

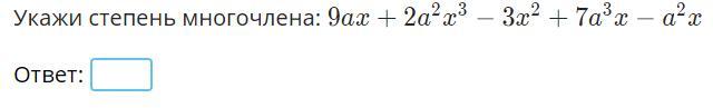
Ответ: 1  незнаю

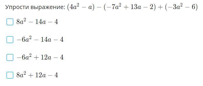
2 8a^2-14a-4

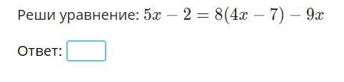
3. 3

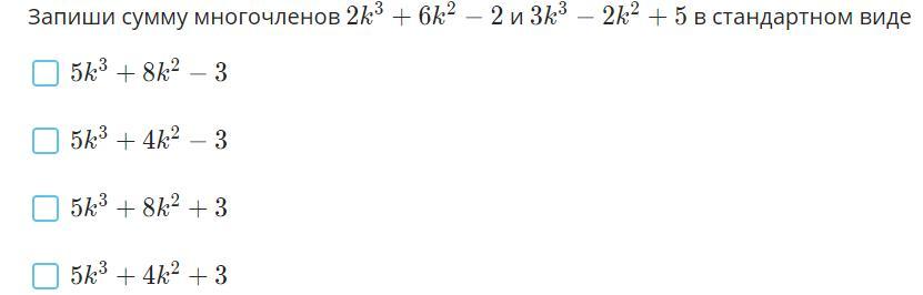
4. 6

Пошаговое объяснение:

Похожие вопросы
Предмет: Русский язык, автор: Helen2020

 

Помогите, пожалуйста!!! Что сможете сделать, буду благодарна!!!

Задание:

Ученые утверждают, что наречие «живописует действие». Докажите правомерность этих слов: 1) прочитайте текст, выпишите из него 5-6 словосочетаний с наречиями; 2) обозначьте главное слово, напишите сверху, какой частью речью оно выражено; 3) укажите смысловые значения наречий.

Пример:

Решительно (как?) отверг (гл.) (образ действ.)

Виднеется (гл.) (где?) вдали (место действ.)

Текст:

Темное, чистое небо торжественно и необъятно высоко стояло над нами со всем своим таинственным великолепием. Сладко стеснялось грудь, вдыхая тот особенный, томительный и свежий запах – запах русской летней ночи. Кругом наслышалось почти никакого шума…. Лишь изредка в близкой с внезапной звучностью плеснет большая рыба и прибрежный тростник  слабо зашумит, едва поколебленный набежавшей волной.... Одни огоньки тихонько потрескивали.

 Вывод:

Перечитайте про себя текст, опустив в нем наречия. Сделайте вывод в роли наречий в речи и запишите его. ____________________________________________________