Предмет: Алгебра, автор: Псевдонимы

Помогите решить пожалуйста

Приложения:

Ответы

Автор ответа: Аноним
0

ОДЗ: \displaystyle \tt x\ne2, \: \: x\ne-2

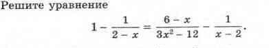
\displaystyle \tt 1-\frac{1}{2-x}=\frac{6-x}{3x^2-12}-\frac{1}{x-2}\\\\ \displaystyle \tt 1-\frac{1}{2-x}-\frac{6-x}{3x^2-12}+\frac{1}{x-2}=0\\\\ \displaystyle \tt 1-\frac{1}{-(x-2)}-\frac{6-x}{3(x^2-4)}+\frac{1}{x-2}=0\\\\ \displaystyle \tt 1+\frac{1}{x-2}-\frac{6-x}{3(x-2)(x+2)}+\frac{1}{x-2}=0\\\\ \displaystyle \tt \frac{3(x-2)(x+2)+3(x+2)-(6-x)+3(x+2)}{3(x-2)(x+2)}=0\\\\ \displaystyle \tt \frac{3(x^2-4)+3x+6-6+x+3x+6}{3(x-2)(x+2)}=0

\displaystyle \tt \frac{3x^2-12+3x+6-6+x+3x+6}{3(x-2)(x+2)}=0\\\\ \displaystyle \tt \frac{3x^2-6+7x}{3(x-2)(x+2)}=0\\\\ \displaystyle \tt 3x^2-6+7x=0\\\\ \displaystyle \tt 3x^2+7x-6=0\\\\ \displaystyle \tt D=7^2-4\cdot3\cdot(-6)=49+72=121\\\\ \displaystyle \tt \sqrt{D}=\sqrt{121}=11\\\\ \displaystyle \tt \bold{x_1}=\frac{-7+11}{2\cdot3}=\frac{4}{6}=\frac{2}{3}\\\\ \displaystyle \tt \bold{x_2}=\frac{-7-11}{2\cdot3}=\frac{-18}{6}=-3

Похожие вопросы
Предмет: Русский язык, автор: Настя1991

1.В каком ряду в обоих словах на месте пропуска пишется буква Е?

1) увид..шься, реша..мый 2) забуд..шься, выпил..вший

3) удерж..шься, рекоменду..мый 4) спляш..шь, разбуж..нный

 

3.В каком ряду в обоих словах на месте пропуска пишется буква Е?

1) засуш..шь, присоединяя..мый 2) замет..шь, купл..нный

3) услыш..шь, заявл..нный 4) безмолвству..шь, постел..нный

 

5.В каком ряду в обоих словах пропущена буква И?

1) верт..шься, обожа..мый 2) засмотр..шься, добыва..мый

3) высп..шься, законч..нный 4) выпил..шь, провер..вший

 

7.В каком ряду в обоих случаях на месте пропуска пишется буква Я?

1) стел..щиеся растения, ямщики гон..т лошадей

2) завис..щий от силы ветра, собаки ла..т

3) белки корм..тся орехами, ссор..щиеся воробьи

4) недремл..щий глаз, друзья дар..т радость

 

9.В каком ряду в обоих словах на месте пропуска пишется буква У?

1) птицы щебеч..т, кураж..щийся над новичком

2) пыш..щий здоровьем, пожарные туш..т

3) трепещ..щий от страха, сыновья служ..т

4) геологи ищ..т, хлопоч..щая за сына

 

 

 

 

Практические задания:

1)  Вставьте пропущенные буквы и объясните написание слов.

Учителя цен..т, сия..щий от радости, землекопы ро..т, сме..щий возражать, друзьявыкро..т время, ве..щий ветерок, собаки чу..т, трат..щий накопления, внемл..щий

советам, продавцы сыпл..т, молот..щий зерно, листья стел..тся, ка..щийся грешник,гости увид..т, ре..щий стяг, самолёты пронос..тся, родные утеш..т, дыш..щий легко,

бойцы окруж..т, плач..щая ива, невежи переч..т, движ..щийся транспорт, ветрывысуш..т, брызж..щий фонтан, се..щий гречиху, мастерицы кле..т, пол..щая огород,

народы бор..тся, та..щие льды, кондитеры мес..т, мел..щий кофе, коллеги подмен..т,шины скрежещ..т, неж..щийся в постели, рокоч..щий мотор, капля точ..т камень,

маш..щий крыльями, бойцы услыш..т, колхозники вяж..т, бормоч..щий во сне.

Предмет: Математика, автор: nik635