Предмет: Геометрия,
автор: 5line
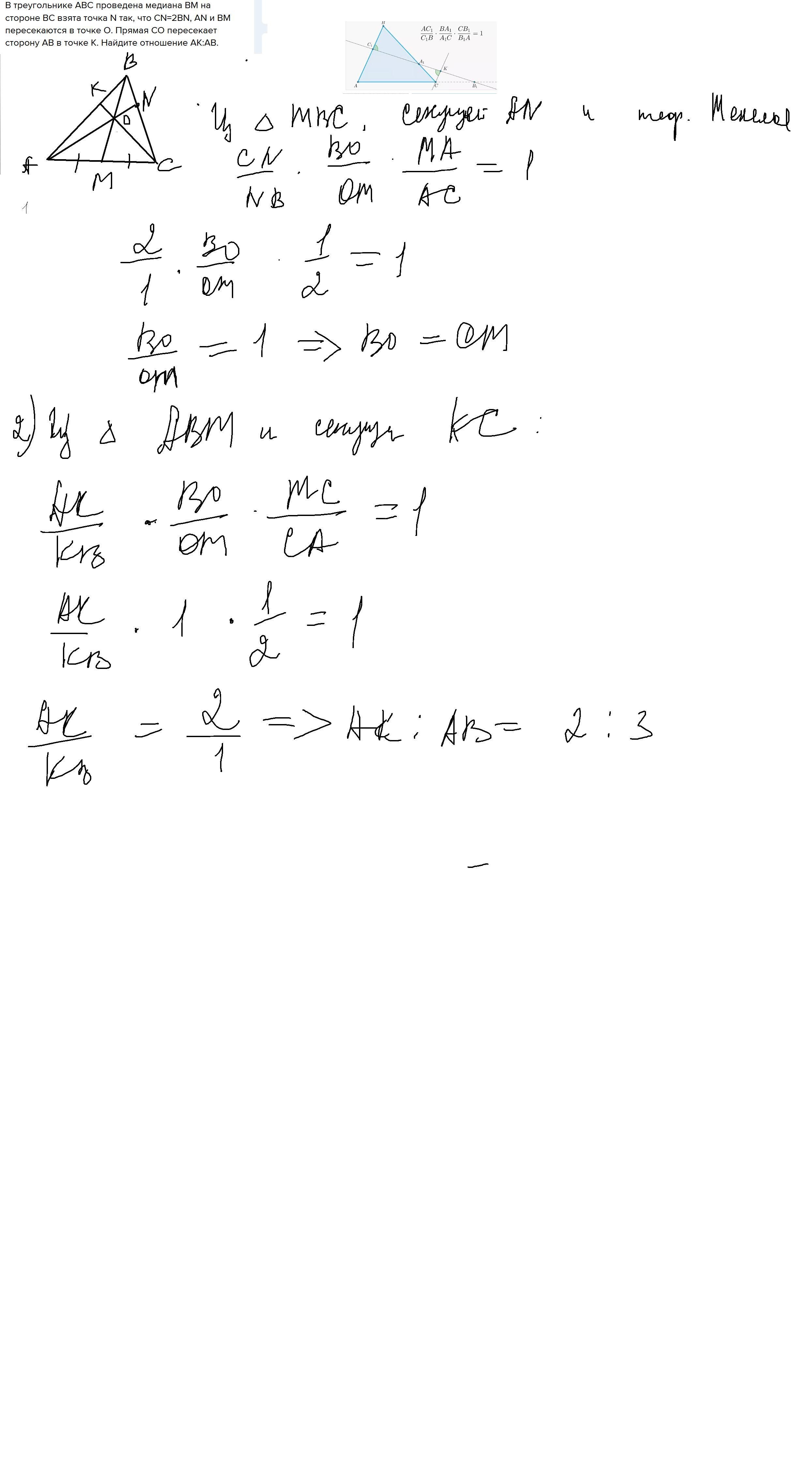
в треугольнике ABC проведена медиана BM на стороне BC взята точка N так, что CN=2BN, AN и BM пересекаются в точке O. Прямая CO пересекает сторону AB в точке K. Найдите отношение AK:AB.
Ответы
Автор ответа:
1
Ответ:
Объяснение:
в треугольнике ABC проведена медиана BM на стороне BC взята
Приложения:
Похожие вопросы
Предмет: Русский язык,
автор: Никаааааааа
Предмет: Русский язык,
автор: Nastya1008
Предмет: Русский язык,
автор: Nastya1008
Предмет: Химия,
автор: Thcfhctjge
Предмет: Алгебра,
автор: PurpleBoyAnime