Предмет: Математика,
автор: DASTloveis9398
Помогите срочно пожалуйста
Приложения:
Ответы
Автор ответа:
1
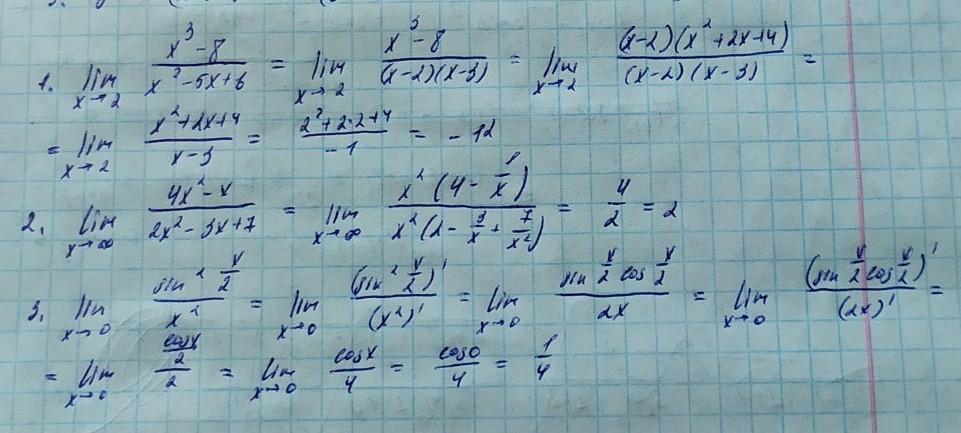
Решение приложено...
Приложения:
DASTloveis9398:
Большое спасибо! Вы просто абсолютный гений!
Пожалуйста)
Никогда с математикой не дружила) вот вообще никогда не получалось)
Русский, литература - пожалуйста, но не математика ахах
Русский, литература - пожалуйста, но не математика ахах
Ещё раз огромное спасибо
Сессия через пару месяцев, а я только сейчас взялась задания делать)
Ну, и не так рисковали)
Похожие вопросы
Предмет: Английский язык,
автор: superLara
Предмет: Українська мова,
автор: Инна191285
Предмет: Английский язык,
автор: nargugw
Предмет: Математика,
автор: dilbaramasimova
Предмет: История,
автор: alex45541