Предмет: Алгебра,
автор: maximivanchenkooffic
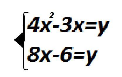
помогите решить систему уравнений
С решением
Приложения:
Ответы
Автор ответа:
0
Ответ на фото, там всё изи, удачи
Приложения:
Похожие вопросы
Предмет: Русский язык,
автор: everlast21
Предмет: Русский язык,
автор: lovneg
Предмет: Английский язык,
автор: natalija31
Предмет: Алгебра,
автор: MaZa7XaKa
Предмет: Литература,
автор: твпрывшо