Предмет: Алгебра,
автор: eldarsytnick228
Помогите пожалуйста!
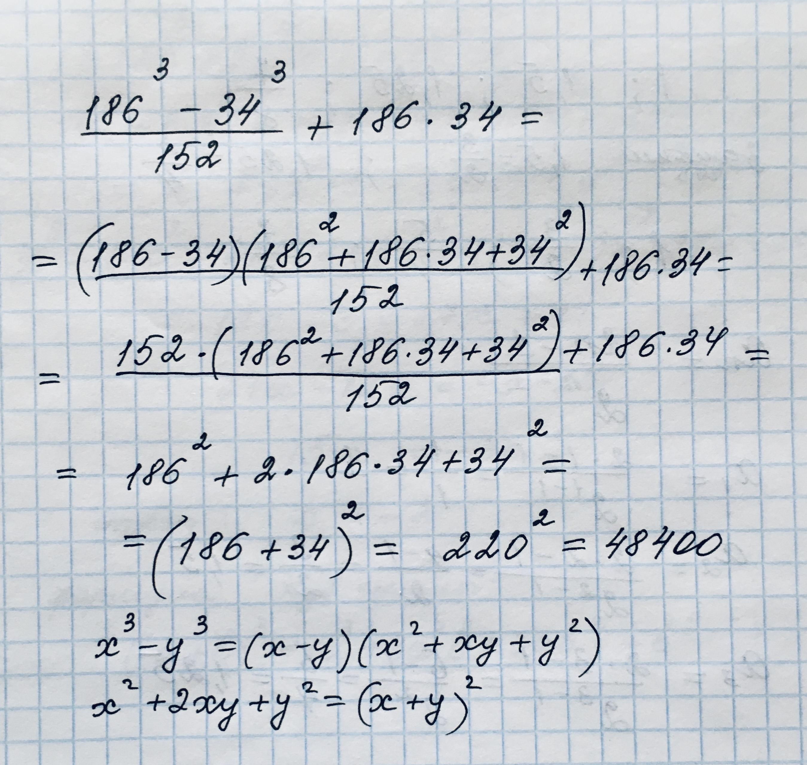
186³-34³/152 + 186*34
Ответы
Автор ответа:
32
Ответ:
Объяснение:
...........................
Приложения:
Похожие вопросы
Предмет: Русский язык,
автор: свидетельство
Предмет: Русский язык,
автор: Аноним
Предмет: Русский язык,
автор: Nastya1008
Предмет: Литература,
автор: pylemet21321