Предмет: Алгебра,
автор: Mr0leg
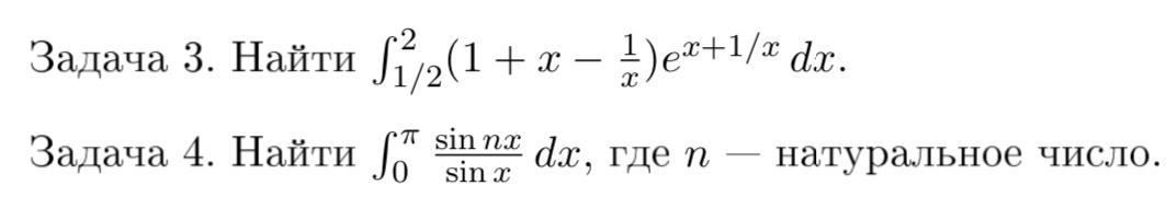
Решить задачи 3, 4...
Приложения:
Ответы
Автор ответа:
1
Ответ:
Объяснение: в приложении
Приложения:
Похожие вопросы
Предмет: Русский язык,
автор: vova08
Предмет: Русский язык,
автор: Плиз123
Предмет: Русский язык,
автор: ZXC963OP
Предмет: Математика,
автор: есен1331424