Предмет: Математика,
автор: isharlap
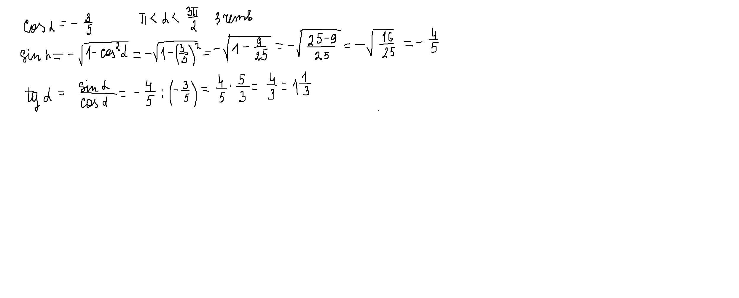
Найдите синус альфа и тангенс альфа,если известно, что кос альфа = -3\5
parus77:
в какой четверти лежит угол альфа?
П<альфа<3П\2
Ответы
Автор ответа:
0
Ответ:
КосА=-0.6
СинА=√1-(-0.6)^2= √0.64=0.8
ТангА=СинА:КосА
ТангА=0.8:(-0.6)=1.3333333333
Пошаговое объяснение:
кос альфа = -3\5 ,поэтому тангенс тоже должен быть отрицательным.
Автор ответа:
3
Ответ:
sinα=-4\5 tg α= 1 1\3
Пошаговое объяснение:
Приложения:
Похожие вопросы
Предмет: Русский язык,
автор: Bogemasuper
Предмет: Другие предметы,
автор: Anna322
Предмет: Русский язык,
автор: МДМ
Предмет: Математика,
автор: dina2007a