Предмет: Математика,
автор: dmitrijfomin1977
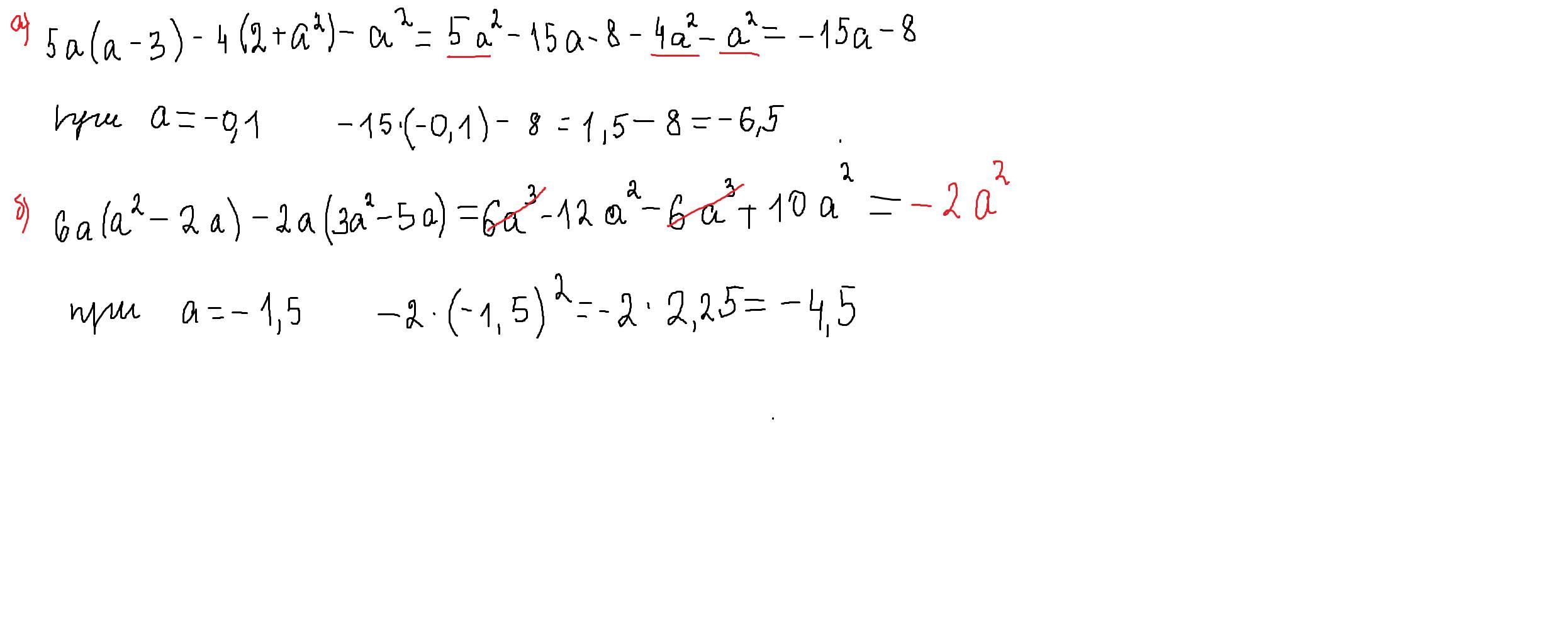
Помогите пожалуйста. Найдите значения выражения.
Приложения:
Ответы
Автор ответа:
1
Ответ:
Пошаговое объяснение:
решение внизу
Приложения:
Похожие вопросы
Предмет: Русский язык,
автор: 0Сашенька0
Предмет: Русский язык,
автор: 12345678910111й
Предмет: Русский язык,
автор: пуняева
Предмет: Математика,
автор: xrot