Предмет: Физика, автор: Sabina140904

Как записать дано и что найти нужно?
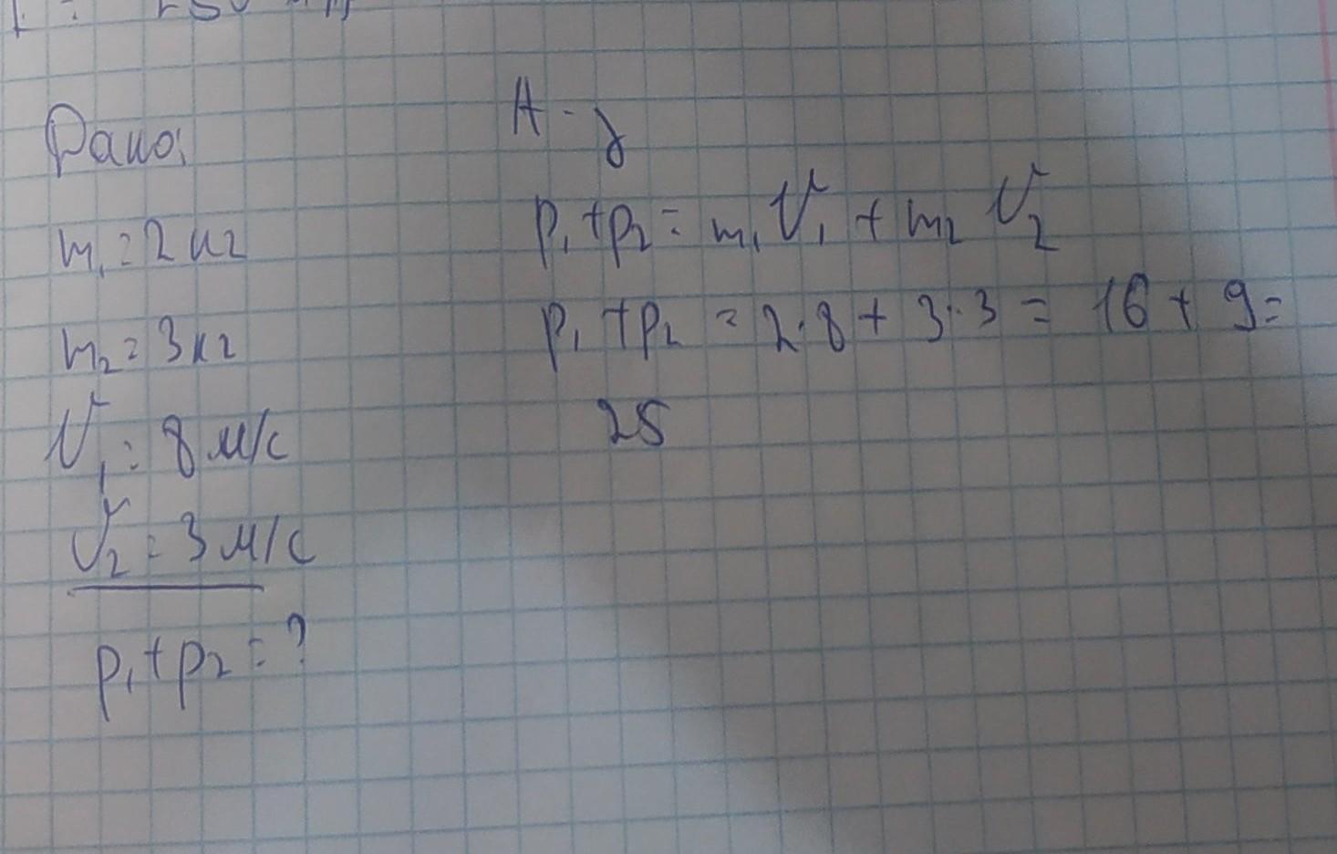
Два идеально упругих шара массами 2 и 3 кг движутся навстречу друг другу со скоростями 8 и 3 м/с соответственно. Рассчитайте импульс системы шаров

Ответы

Автор ответа: danielka0457
49

надеюсь все понятно будет

Приложения:

Sabina140904: Нет ничего непонятно. Я уже решила,спасибо
Sabina140904: В ответе будет 0
danielka0457: там ноль никаким образом не получится
Sabina140904: Да конечно) Мне помогли. А вы просто не поняли задачу
Sabina140904: Попробуйте прорешать снова. Ответ то у вас неправильный
danielka0457: если не сложно скиньте решение
danielka0457: я посмотрю как и что,может я гоню
Похожие вопросы
Предмет: Русский язык, автор: 1234нана
Предмет: Математика, автор: Mineco
Предмет: Математика, автор: сахарок18