Предмет: Алгебра,
автор: KuOV
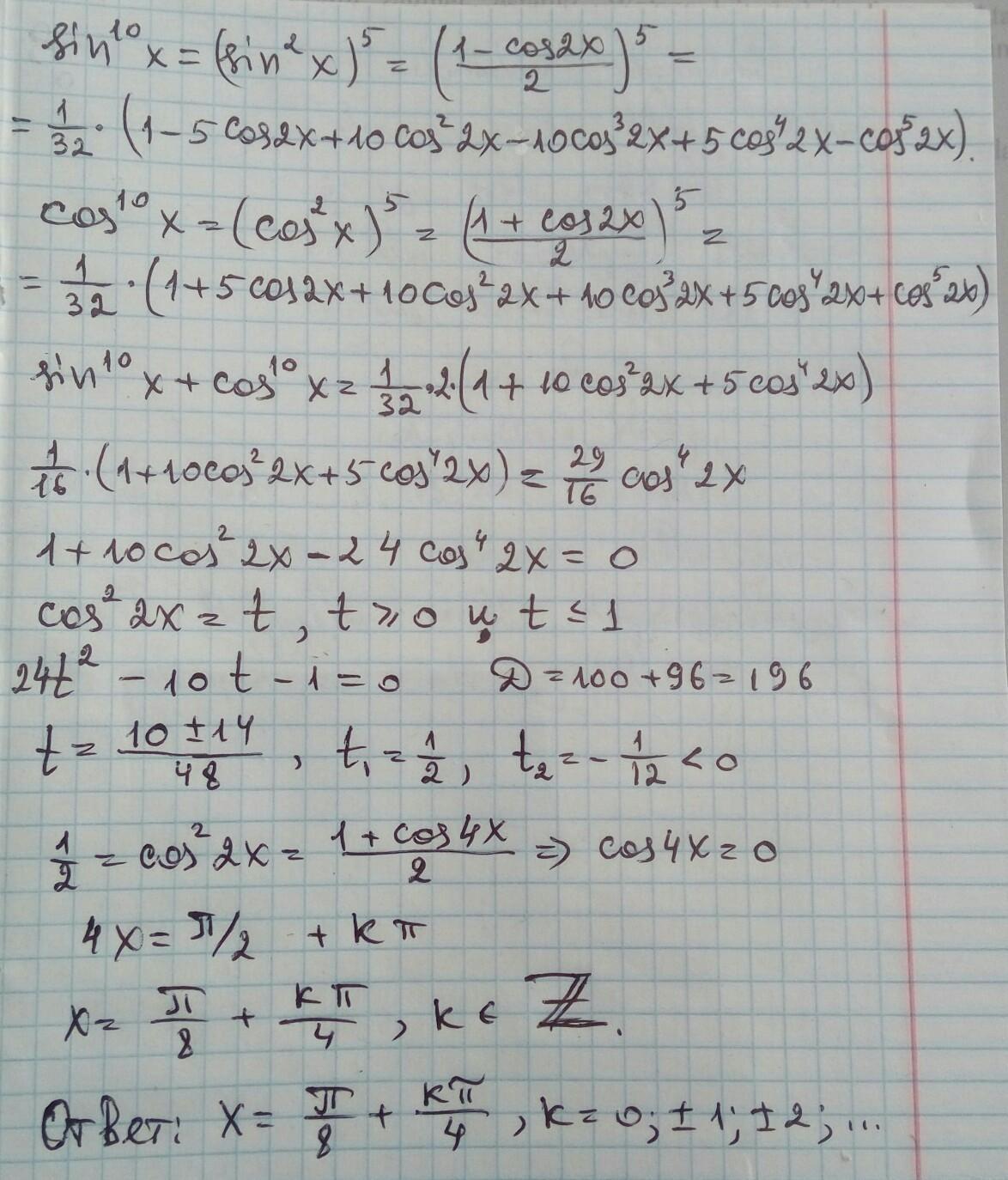
Решить уравнение (тригонометрия):
Ответы
Автор ответа:
1
Объяснение:
решение на фотографии
Приложения:
sony4k88:
Пожалуста помог те
Прошу
Похожие вопросы
Предмет: Українська мова,
автор: KarolineBest
Предмет: Українська мова,
автор: олег007
Предмет: Русский язык,
автор: hhgvhbn
Предмет: Математика,
автор: kolaider