Предмет: Алгебра,
автор: kotikida675
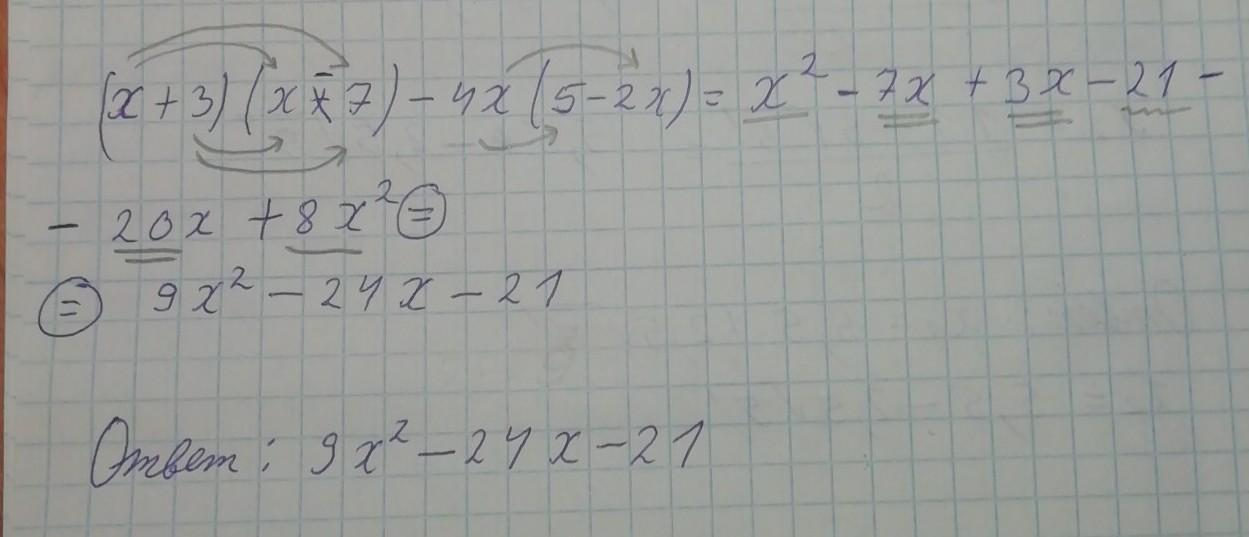
Упростить выражение (x+3)(x-7)-4x(5-2x)
Ответы
Автор ответа:
4
Ответ:
9х^2-24х-21
Объяснение:
См. фото ниже.
Приложения:
Похожие вопросы
Предмет: Английский язык,
автор: jura111
Предмет: Русский язык,
автор: sasha35s
Предмет: Другие предметы,
автор: Аноним
Предмет: Биология,
автор: mgigi23