Предмет: Алгебра,
автор: bestgirlfriends123
Спростіть вираз:
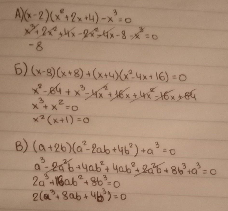
А) (х-2)(х²+2х+4)-х^3
Б) (х-8)(х+8)+(х+4)(х²-4х+16)
В) (а+2б)(а²-2аб+4б²)+а^3
Ответы
Автор ответа:
2
Ответ:
....................
Приложения:
Похожие вопросы
Предмет: Английский язык,
автор: Мамой123
Предмет: Русский язык,
автор: коробка222
Предмет: Русский язык,
автор: 19011985
Предмет: Алгебра,
автор: GirdonMan