Предмет: Математика, автор: maksimova1108

С решением пожалуйста ​

Приложения:

Ответы

Автор ответа: tatsach
0

Ответ:

Пошаговое объяснение:

Приложения:
Автор ответа: sebrithien
2

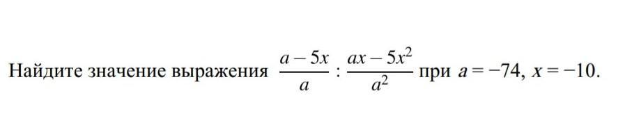
Упрощаем выражение:

\displaystyle \tt \frac{a-5x}{a}\div\frac{ax-5x^2}{a^2}=\frac{a-5x}{a}\cdot\frac{a^2}{ax-5x^2}=(a-5x)\cdot\frac{a}{x(a-5x)}=\frac{a}{x}

Находим значение:

\displaystyle \tt \frac{a}{x}=\frac{-74}{-10}=\bold{7,4}

Ответ: 7,4

Похожие вопросы
Предмет: Физика, автор: васёк33328
1. Тело, которое наэлектризовано (имеет электрический заряд) …
А) нагревается Б) приходит в движение
В) притягивает к себе другие тела
2. Каким из указанных способов можно сообщить телу электрический заряд (наэлектризовать)?
А) соприкосновением Б) перемещением предмета
В) помещением предмета в вакуум
3. Электрические заряды бывают…
1. положительные 2. отрицательные
А) только 1 Б) только 2 В) 1 и 2
4. Два легких одинаковых шарика подвешены на шелковых нитях. Шарики зарядили одинаковыми одноименными зарядами. На каком рисунке изображены эти шарики?

А) А
Б) Б
В) В
Г) А и Б

5. При трении о шерсть эбонитовая палочка заряжается…
А) положительно Б) отрицательно В) нейтрально
6. Если наэлектризованное тело притягивается к стеклянной палочке, потертой о шелк, то оно …
А) не имеет заряда Б) заряжено положительно
В) заряжено отрицательно
7. В пространстве, где находится электрический заряд, существует
А) магнитное поле Б) электрическое поле в) сила притяжения
8. В электрическое поле положительно заряженного шара вносят отрицательно заряженную гильзу. В какой точке поля отклонение гильзы будет минимальным?

А) А Б) Б В) В Г) Г
9. Какие из перечисленных веществ можно считать непроводниками электрического заряда?
А) раствор соли Б) стекло В) металлы
10. Каким стержнем – стеклянным, эбонитовым или стальным – нужно соединить электроскопы, чтобы они оба оказались заряженными (см. рисунок).
А) стеклянным Б) эбонитовым
В) стальным

11. Два одинаковых электрометра имеют электрические заряды q1=0 Кл и q2= -20 Кл соответственно. После соединения электрометров проводником, их заряды станут равны
А) q1= -20 Кл и q2= -20 Кл Б) q1= +20 Кл и q2= 0 Кл
В) q1= -10 Кл и q2= -10 Кл
12. От капли, имеющей положительный заряд -2е, отделилась капля с зарядом +е. Каков электрический заряд оставшейся части капли?
А) –е Б) -3е В) +е Г) +3е
13. Какое из утверждений верно?
А) при электризации можно зарядить только одно тело
Б) при электризации электризуются оба тела
В) при электризации тела остаются электрически нейтральными














Предмет: Математика, автор: шуши1