Предмет: Алгебра,
автор: Аноним
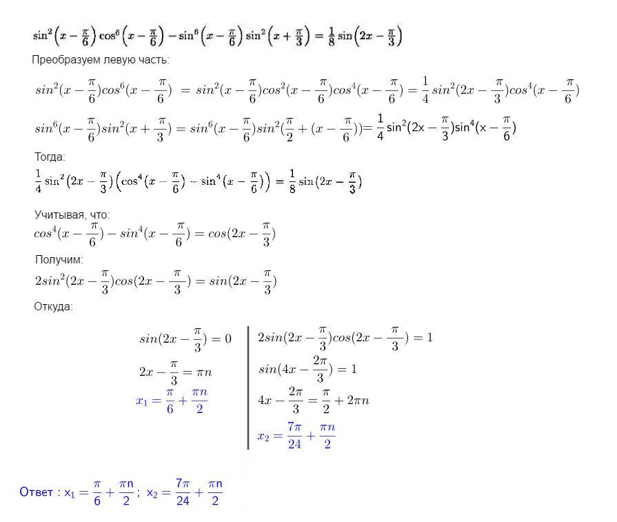
Решите уравнение! пожалуйста
Приложения:
Ответы
Автор ответа:
1
Смотри в приложении:
Приложения:
Похожие вопросы
Предмет: Английский язык,
автор: 20010111
Предмет: Русский язык,
автор: Аноним
Предмет: Русский язык,
автор: Кузек
Предмет: Биология,
автор: Оналюбитрок24
Предмет: Обществознание,
автор: Roman5588